Погрешности измерений
Лекция 2 погрешности измерений
2.1 Понятие погрешности измерения
Погрешность измерения – отклонение результата измерения от истинного значения измеряемой величины.
Числовые оценки погрешности:
· абсолютная погрешность

Хизм – измеренное значение,
Рекомендуемые материалы
Х – действительное значение;
· относительная погрешность

· приведенная погрешность

Хн – нормирующее значение:
а) Хн – предел измерения;
б) Хн = /Хпред.лев./ + /Хпред.прав./;
в) Хн = lполн [мм].
Формулы связи:

2.2 Составляющие погрешности измерений
По причинам возникновения:
· инструментальная Δинс,
· методическая Δмет,
Δ = Δинс + Δмет.
Пример:
По характеру изменения:
· систематическая Δс,
· случайная
,
Δ = Δс +
.
По зависимости от значения измеряемой величины:
· аддитивная (постоянная) Δад,
Δад = ± а = const;
· мультипликативная (пропорциональная) Δмлт,
Δмлт = ± bХ ; δ = ± Δмлт /X = ± b = const;
Δ = Δад + Δмлт.

По условиям возникновения:
· основная (при нормальных условиях) Δнор,
· дополнительная Δдоп,
Δ = Δнор + Δдоп.
По зависимости от скорости изменения Хизм:
· статическая Δст,
· динамическая Δдин,
Δ = Δст + Δдин.
2.3 Уменьшение погрешности измерений
v Систематическая погрешность проявляется в виде смещения Хизм относительно Х. Может быть учтена введением поправки.
При ∆с ≈ 0 – измерения правильные.
Способы уменьшения ∆с:
· введение поправки: ∆п = –∆с;
· устранение причины;
· повышение класса точности прибора;
· использование метода замещения;
· изменение знака выходной величины и др.
v Случайная погрешность проявляется в виде разброса значений Хизм относительно Х. Может быть оценена в виде доверительного интервала.
Способы уменьшения
:
· повышение класса точности измерительных приборов (при однократных измерениях);
· проведение многократных наблюдений с помощью высокочувствительных приборов.
2.4 Классы точности
Класс точности – нормированная метрологическая характеристика средства измерения, определяемая пределами допускаемых погрешностей, а также другими свойствами, влияющими на точность.
Приборы с Δад >> Δмлт
.
Класс точности:
Пример обозначения: 1,0
Расчетные формулы:

Пример 1: Предел измерения амперметра 10 А, класс точности 0,5. Определите абсолютную и относительную погрешности измерения тока 5 А.
Решение:

У приборов с резко неравномерной шкалой Хн = lполн .

Класс точности:
Пример обозначения:
Приборы с Δмлт >> Δад

![]() |
Класс точности:
![]() |
Пример обозначения:
Расчетная формула:
Пример 2: Счетчик электрической энергии зарегистрировал расход энергии 200 кВт-час. Определите абсолютную погрешность измерения энергии, если класс точности счетчика .
![]() |
Решение: 
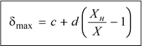
Приборы с Δад ~ Δмлт

Класс точности:
Пример обозначения: 1,0/0,5

Расчетная формула: 
Пример 3: Uн = 50 B; KV = 0,5/0,2; Uизм = 20 B.
∆, δ, γ = ?
Решение:
![]() |
47. Малые профессиональные группы - лекция, которая пользуется популярностью у тех, кто читал эту лекцию.
Пример 4: Wн1 = 750 Bт; K1 = 0,5; Wн2 =1000 Bт, K2 = 0,5/0,1;
Выбрать прибор, обеспечивающий меньшую погрешность измерения мощности 500 Вт.
Решение:
Меньшую погрешность дает второй вольтметр.


























