Моделирование переходных процессов
ЛЕКЦИЯ 7
7.1. Моделирование переходных процессов
Существует явная и неявная форма представления модели схемы для расчета переходных процессов.
Явная форма, в общем случае, состоит из двух подсистем:
1)
, i = 1, 2, …, n – обыкновенное дифференциальное уравнение (ОДУ) первого порядка;
2)
j = 1, 2, …, p – конечное уравнение, где x – вектор переменных токов или напряжений для реактивных элементов, v – вектор постоянных и управляемых источников напряжения или тока, w – вектор переменных токов или напряжений для резистивных элементов.
Задача расчета переходного процесса по ОДУ сводится к решению задачи, известной в математике как задача Коши. Она заключается в поиске функции x(t), удовлетворяющей заданному начальному условию x(t0) = x0 на конечном интервале
. Численно эта функция определяется в отдельных точках (узлах) интервала t1, t2, ... , tn в виде таблицы t1, t2, ... , tn с соответствующими приближенными значениями x(t1), x(t2), …, x(tn) точного решения x(t). Расстояние между узлами
называется шагом интегрирования – h. Значения функции в соседних узлах связаны между собой соотношением
. Наиболее широко для решения ОДУ используется метод Эйлера:
.
Пример модели диодно-резисторной схемы в явном виде
Рекомендуемые материалы
Так как
, то ОДУ, описывающее работу схемы, имеет вид
).
Соответствующая система конечных уравнений имеет вид
,
,
.



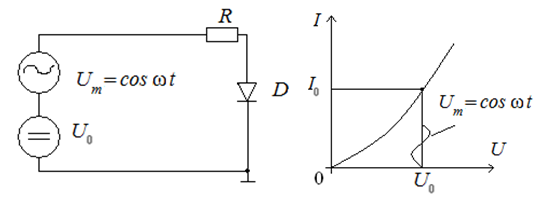
Рис. 7.1. Пример диодно-резисторной схемы
Неявная форма в общем случае имеет вид
, где i = 1, 2, …, p. Для решения данной задачи используется замена производных и интегралов аппроксимирующими выражениями. Такой прием называется дискретизацией и алгебраизацией математической модели. Именно дискретизация и алгебраизация составляют сущность построения динамической модели (модели для исследования переходных процессов) в неявной форме.
При моделировании переходных процессов также используется базис узловых потенциалов с автоматическим выбором шага
. В результате модель для исследования переходных процессов практически не отличается от модели для статического режима. Просто переходный процесс рассматривается как совокупность (последовательность) различных статических режимов схемы, что значительно упрощает программу схемотехнического моделирования.
7.2. Моделирование частотных характеристик
Амплитудно-частотная характеристика (АЧХ) определяется как
, где p = jω – комплексная частота. Аналитически АЧХ вычисляется путем расчета полиномов вида
.
Существуют следующие подходы к моделированию АЧХ на ЭВМ.
1. Символьный – программа вычисляет коэффициенты am, bn по формулам, входящим в полином. Недостаток: большой объем вычислений. Поэтому применяется для моделирования небольших схем (10–20 компонентов).
2. Численный – АЧХ вычисляется поточечно для разных частот. Используется метод узловых потенциалов для частотной области. При этом изменяются компонентные уравнения реактивных ветвей с учетом их реактивных проводимостей. В результате получают узловое уравнение линейной системы в частотной области:
, где p = jω.
Переход от комплексного значения к действительному значению АЧХ и фазово-частотной характеристики (ФЧХ) осуществляется по известным выражениям:
,
, где U1 – действительная часть комплексного числа, U2 – мнимая часть комплексного числа.
7.3. Схемотехническое моделирование нелинейных и высокодобротных линейных радиочастотных схем
Для данного класса схем ранее рассмотренные методы схемотехнического моделирования на основе решения ОДУ оказываются неэффективными с точки зрения вычислительных затрат. Высокодобротные схемы требуют расчета переходных процессов в них, связанных как с несущей высокой частотой, так и с низкочастотным модулирующим сигналом, что значительно усложняет процесс численного интегрирования. В нелинейных схемах возникают задачи расчета нелинейных искажений, спектра выходного сигнала, что требует перехода к частотной области и не решается на основе ОДУ. Рассмотрим сущность задач схемотехнического моделирования для данных схем.
7.3.1. Расчет по постоянному току
Цель расчета по постоянному току – определение рабочей точки на нелинейной вольт-амперной характеристике элемента. Метод расчета идентичен методу расчета статистического режима. При этом во входном сигнале учитывается лишь постоянная составляющая U0.

Рис. 7.2. К определению рабочей точки
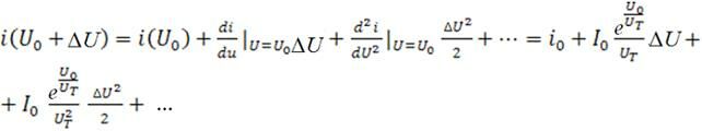
7.3.2. Расчет АЧХ и ФЧХ
Из-за нелинейности схем дифференциальные узловые проводимости зависят от режима по постоянному току, т.е. от рабочей точки. Поэтому сначала определяют рабочую точку (
,
), а затем в этой точке нелинейности линеаризируют путем разложения в ряд Тейлора, ограничиваясь линейным членом разложения. Таким образом, идея заключается в том, что схему считают линейной вблизи рабочей точки (т.е. для малого сигнала ΔU ) и линеаризация заключается в замене кривой в окрестности ΔU на касательную в точке
.

Рис. 7.3. Линеаризация вольт-амперной характеристики
Например,
в примере для диода соответствует уравнению Эберса–Молла для p–n-перехода
, и разложение в точке U = U0 будет иметь вид

Ограничиваясь линейным членом ΔU (окрестность точки
), получим дифференциальную проводимость как коэффициент при ΔU, т.е.
. Это значение и используют в модели схемы при расчете АЧХ и ФЧХ.
7.3.3. Расчет нелинейных схем в режиме малого сигнала
В отличие от предыдущей задачи, где сигнал также мал, но схема считается линейной, в результате чего сигнал на выходе содержит только одну первую гармонику, данный вариант расчета обеспечивает получение значений высших гармоник и оценку нелинейных искажений.
Суть метода расчета нелинейных схем в режиме малого сигнала заключается в том, что оператор передачи линейной цепи представляют в виде степенного полинома, коэффициенты которого используют для определения амплитуд соответствующих высших гармоник спектра.
7.3.4. Расчет нелинейных схем в режиме большого сигнала
К подобного рода схемам относятся смесители, модуляторы, усилители и т.п., где нелинейность является необходимым условием для работы. При данных расчетах определяют значения амплитуд основных высших гармоник и комбинационных частот, возникающих из-за нелинейных свойств схемы. Условная классификация методов расчета нелинейных схем приведена на рис. 7.4. Далее эти методы рассматриваются более подробно.

Рис. 7.4. Классификация методов расчета нелинейных схем
Расчет амплитуды установившегося режима высокочастотных
колебаний во временной области
Рассмотрим RLC-контур. Пусть начальные условия колебаний: Uc0= 0,
ic0= 0. Если при установившемся режиме контур разомкнуть и сразу замкнуть, то получим процесс с мгновенно установившейся амплитудой Uc. Таким образом, важен выбор начальных условий.
В оптимальном случае можно так выбрать начальные условия, что расчет колебаний во временной области будет сразу соответствовать стационарному (установившемуся) режиму и можно определить амплитуду в данный момент времени. Иначе расчет для установившегося режима усложняется.
Для определения оптимальных начальных условий существуют алгоритмы, основанные на итерационных методах решения дифференциальных уравнений.

а б в
Рис. 7.5. К методу расчета установившегося режима колебаний:
а – электрическая схема; б – момент t0 окончания переходного процесса;
в – установившееся колебание
Сущность расчета периода стационарных колебаний заключается в следующем. Если на схему подать внешний сигнал с периодом Т, то он и определяет частоту вынужденных колебаний. Если схема автономна (внешних воздействий нет), то период Т неизвестен.
Расчет основан на том, что в автоколебательных схемах изменение начальных условий приводит только к сдвигу момента установления колебаний по оси времени. При этом период Т остается без изменений и определяется только параметрами элементов схем. Поэтому любое из начальных условий можно ввести произвольно или вообще исключить из рассмотрения, введя новую неизвестную величину – Т (период). Такой прием позволяет получить дифференциальное уравнение относительно Т и решать его численными методами.
Расчет схем в частотной области в режиме малого сигнала
При подаче на вход нелинейной схемы нескольких сигналов с частотами ω1, ω2 … возникают высшие гармоники m1ω1, m2ω2 и комбинационные гармоники m1ω1± m2ω2 … . Если амплитуды этих новых гармоник малы по сравнению со входными, то говорят, что схема работает в режиме малого сигнала. В противном случае – в режиме большого сигнала.
Основной способ расчета для малого сигнала заключается в представлении оператора передачи в виде степенного полинома. Так, если в нелинейной безынерционной цепи передаются гармонические сигналы x = U1cosω1t + U2cosω2t, то выходной сигнал y = f (x) с использованием оператора передачи в виде степенного полинома можно представить следующим образом: y = H0 + H1x + H2x2 + H3x3 + … .
Подставляя значения x в полином и группируя члены с частотами ω1, ω2, 2ω1, 2ω2, ω1 ± ω2 и т.д., можно определить амплитуды колебаний с этими частотами, а затем соответствующие коэффициенты, характеризующие искажения входного сигнала. В качестве степенного полинома обычно используют разложение в ряд Тейлора.
Для оценок искажений в нелинейных инерционных цепях с гармоническим входным сигналом оператор передачи представляют в виде функционального ряда Вольтерра (ФРВ). Если ряд Тейлора ставит в соответствие y и x для одного и того же момента времени, то ФРВ определяет y = f (x) для предшествующего интервала времени. В ФРВ входят функции, имеющие смысл переходной импульсной характеристики разных порядков от n = 1 до k. Чем больше нелинейность схемы, тем больше членов разложения используется.
Расчет схем в частотной области в режиме большого сигнала
Основным методом расчета является метод гармонического баланса. Сущность метода заключается в следующем. Пусть на входе действует сигнал Uвх = U0cosωt. В результате в нелинейной схеме возникают колебания сложной формы. Раскладывая исходное компонентное уравнение i = f(U) для нелинейного элемента в ряд Фурье по гармоникам входного сигнала, получают систему уравнений, связывающую амплитуду гармонической составляющей тока с амплитудой гармонической составляющей напряжения (так называемые гармонические компонентные уравнения), где каждой переменной U(t) соответствует группа U0, U(ω), U (2ω)... .
Далее используют базис узловых потенциалов. Соответственно, топологической матрице узлов будет соответствовать множество систем узловых уравнений, содержащих гармоники. Последовательно проводя вычисления в базисе узловых потенциалов для каждой системы уравнений, вычисляют спектральные составляющие в каждом узле схемы.
Для ускорения вычислений обычно используют дискретный аналог преобразования Фурье (ДПФ). Один из способов его численной реализации получил название быстрого преобразования Фурье (БПФ) и используется обычно на практике, так как требует меньше вычислений.
7.4. Статистический анализ
Целью статистического анализа является определение процента выхода годных схем при данном разбросе параметров ΔХ. Статистический анализ сводится к расчету вероятности Р(Х) того, что вектор внутренних параметров Х схемы находится в области работоспособности G(Х). Исходной информацией является закон (гистограмма) распределения внутренних параметров Х. Результатом расчета является закон распределения выходных параметров Y.
Статистический анализ ограничивается начальными состояниями схемы, так как не учитывает изменения параметров схем с течением времени. Учет таких изменений весьма сложен и является задачей статистической оптимизации схемы. К наиболее часто используемым на практике методам статистического анализа относятся так называемый метод статистических испытаний (метод Монте-Карло) и метод расчета на наихудший случай.
7.4.1. Метод расчета на наихудший случай
Метод расчета на наихудший случай является простейшим видом определения разброса выходных параметров без оценки плотности их распределения. Он применяется, если известны предельные отклонения внутренних параметров от номиналов. Метод удобен тем, что не требует знания законов распределения внутренних параметров. Недостаток метода заключается в том, что оценка обычно завышена по сравнению с более точным методом статических испытаний (Монте-Карло).
Целью расчета на наихудший случай является определение вектора выходных параметров Y, компоненты которого наименее благоприятны с точки зрения выполнения технического задания (т.е. наихудший набор выходных параметров из всех возможных).
Сущность расчета на наихудший случай заключается в следующем. Пусть условием работоспособности является состояние выходных параметров:
. Если
, то это означает, что все внутренние параметры Xi заняли самые неблагоприятные позиции. Таким образом, необходимо искать точку изменения знака производной
(экстремум), делая приращения ΔХi и производя соответствующие вычисления.

Рис. 7.6. Структурная схема алгоритма статистического анализа:
N – число статистических расчетов; k – номер очередного расчета
7.4.2. Метод статистических испытаний (Монте-Карло)
Сущность метода Монте-Карло заключается в многократном повторении расчета параметра по заданному случайному закону (см. вышеприведенную структурную схему алгоритма). Законы распределения обычно берут из библиотеки САПР. Простейший алгоритм предполагает расчет математического ожидания
, где
– выходной параметр, и среднеквадратического отклонения
. Достоинством метода является возможность проведения расчетов для больших схем с высокой точностью. Недостаток заключается в необходимости знания статических сведений о параметрах, что на практике трудновыполнимо. Имеются также сложности с выбором числа испытаний N. Требуется компромисс, поскольку если испытаний мало, то получается низкая точность, а при большом числе испытаний увеличивается время анализа. Практически можно считать, что ошибку 5–10% дают примерно 500–1000 испытаний.
7.5. Методы расчета и анализа выходных параметров схем
Различают одно- и многовариантный расчет выходных параметров схем.
7.5.1. Одновариантный расчет
Задачей одновариантного расчета является определение всех выходных параметров схемы в статических и динамических режимах для данного варианта внутренних параметров. Результатом одновариантного анализа является нахождение напряжения, тока, мощности, длительности импульса, времени задержки, оценки искажения и т.д.
7.5.2. Многовариантный расчет
Задачей многовариантного расчета является многократное вычисление выходных параметров для заданных наборов (вариантов) внутренних параметров и для заданных диапазонов изменения внешних параметров. Результатом многовариантного анализа является получение семейства характеристик, по которым можно судить о поведении схемы во всей области работоспособности. Многовариантный расчет предшествует оптимизации, так как определяет область работоспособности и граничные условия.
7.6. Анализ чувствительности
Целью анализа чувствительности является нахождение тех вариантов электрических схем и их параметров, отклонение которых от номинала приводит к наибольшему отклонению выходных параметров схем.
Задачей анализа чувствительности является оценка изменения выходного параметра схемы при заданном изменении внутреннего параметра. В общем случае под чувствительностью понимают реакцию схемы на малое изменение внутренних параметров. Анализ чувствительности необходим для определения требований к разбросу параметров электрической схемы, технологии изготовления, для увеличения процента выхода годных схем и т.п.
К методам анализа чувствительности относятся так называемый метод приращений и метод присоединенной схемы.
7.6.1. Метод приращений
Метод приращений является наиболее простым и распространенным. Его сущность заключается в проведении расчета в номинальном режиме, а затем в выполнении n вариантов расчета с отклонениями внутренних параметров Δxi от номинала. Недостатком метода приращений является невысокая точность и большой объем вычисления.
7.6.2. Метод присоединенной схемы
Сущность метода присоединенной схемы заключается в замене нелинейных компонентов линейными моделями, в коротком замыкании всех источников напряжения и подключении к выходу эквивалентного источника тока. Такой прием позволяет производить вычисления статического режима, как для линейных схем, что уменьшает объем вычисления.
Контрольные вопросы к лекции
1. Каким образом осуществляют моделирование переходных процессов?
2. Чем отличается явная и неявная формы представления модели для расчета переходных процессов?
3. Как осуществляют моделирование АЧХ?
4. В чем состоит особенность схемотехнического моделирования нелинейных и высокодобротных линейных радиочастотных схем?
5. В чем состоит суть расчета по постоянному току для нелинейной схемы?
6. В чем состоит особенность расчета АЧХ и ФЧХ для нелинейных схем?
7. В чем состоит суть расчета нелинейных схем в режиме малого сигнала?
8. В чем состоит суть расчета нелинейных схем в режиме большого сигнала?
11 WaveLet- преобразования - лекция, которая пользуется популярностью у тех, кто читал эту лекцию.
9. Что является целью статистического анализа схем?
10. Какие существуют основные методы статистического анализа?
11. В чем состоит суть метода расчета на наихудший случай?
12. В чем состоит суть метода Монте-Карло?
13. Что является целью анализа чувствительности схем?
14. Какие существуют и в чем заключаются основные методы анализа чувствительности?




















