Свободная энергия Гиббса
3.5. Свободная энергия Гиббса
Второй закон термодинамики дает критерии для самопроизвольности протекания процессов (∆S>0) и равновесия (∆S = 0) в изолированных системах, которые практически не существуют. Можно применить второй закон термодинамики к неизолированным системам, поддерживаемым при постоянной температуре. Кроме того, предполагается, что система сохраняет
постоянный объем или постоянное давление.
Для оценки самопроизвольности процесса, протекающего при постоянной температуре и давлении, используют изобарно-изотермический потенциал или энергию Гиббса:
∆G = ∆H – T ∆S. (3.5)
Энергия Гиббса является функцией состояния и рассчитывается по формуле:
∆G = ∑∆G0298(конечн.прод.) - ∑∆G0298(исходн.вещ-в).
∆G имеет размерность кДж/моль.
Величины ∆G для веществ приводятся в справочниках; для простых веществ свободная энергия Гиббса равна нулю.
Рекомендуемые материалы
Самопроизвольно могут протекать процессы, сопровождающиеся уменьшением ∆G, т.е. процессы, в которых ∆G<0. Если ∆G>0, то процесс самопроизвольно не идет. Если ∆G=0, то система находится в состоянии равновесия.
Из нескольких реакций, имеющих отрицательные значения ∆G, наиболее предпочтительна та, для которой значение ∆G минимально.
Рассмотрим возможность самопроизвольного протекания химической реакции в зависимости от знака энтальпийного и энтропийного членов в выражении изменения свободной энергии.
Возможны четыре случая.
Первый: когда изменение энтальпии отрицательно, а изменение энтропии положительно, то изменение свободной энергии всегда отрицательно. Такие реакции самопроизвольно протекают в прямом направлении. Примером может служить реакция горения черного пороха, которая протекает по следующему суммарному уравнению:
и реакция протекает самопроизвольно.
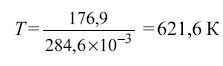
Второй: когда изменение энтальпии положительно, а изменение энтропии отрицательно. Эти реакции в прямом направлении самопроизвольно не идут, самопроизвольно протекает обратная реакция. В качестве примера приведем реакцию термического разложения хлористого водорода на простые вещества:
2 HCl(г) = H2(г) + Cl2(г)
Изменение энтальпии этой реакции равно двум энергиям разрыва
связей H–Cl и составляет 92,3·2 = 184,6 кДж. Изменение энтропии равно:

Третий: когда как изменение энтальпии, так и энтропии отрицательны. В этом случае направление самопроизвольного протекания процесса определяется температурой. При низкой температуре самопроизвольно идет прямая реакция, так как по абсолютной величине изменение энтальпии больше произведения температуры на изменение энтропии. Например, в реакции образования хлорида аммония из газообразных хлористого водорода и аммиака:

Т. к. при равновесии изменение свободной энергии равно нулю (∆G = 0), то температура, при которой система находится в равновесии, равна
T = ∆H/∆S
и

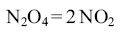
Четвертый: когда изменение энтальпии и энтропии положительные. Направление реакции также зависит от температуры: при низкой температуре самопроизвольно будет протекать обратная реакция, а при высокой – прямая. Это характерно для реакций диссоциации:
Обратите внимание на лекцию "10 Россия в период правления Василия III".

Для данной реакции ∆H0298=57,3 кДж; ∆S0298=176,6 Дж/К; ∆G0298=4,7 кДж.
Температура, при которой устанавливается состояние равновесия:
T = 324,5 К. Ниже этой температуры самопроизвольно протекает
реакция димеризации, а выше – реакция диссоциации.





















