Динамика идеальной жидкости
4. Динамика идеальной жидкости
4.1. Дифференциальное уравнение движения идеальной жидкости (при установившемся движении) и его интегрирование
Для вывода уравнения движения жидкости обратимся к записанному ранее уравнению равновесия жидкости (в проекциях на координатные оси), иначе говоря:
. Поскольку в идеальной жидкости никаких сосредоточенных сил действовать не может, то последнее уравнение чисто условное. Когда равнодействующая отлична от 0,
то жидкость начнёт двигаться с некоторой скоростью, т.е. в соответствии со вторым законом Ньютона, частицы жидкости, составляющие жидкое тело получат ускорение.

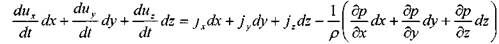
Тогда уравнение движения жидкости в проекциях на координатные оси можно записать в следующем виде:

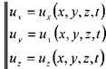
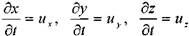
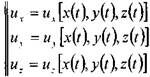
Согласно основному положению о поле скоростей (метод Эйлера) для проекций скоростей движения жидкости можно записать следующее:

или (для установившегося движения жидкости):
Рекомендуемые материалы

Найдём первые производные от скоростей по времени, т.е. определим ускорения вдоль осей координат:

отметим, что:

' * /
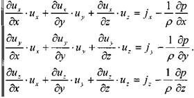
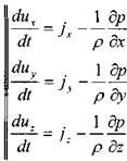
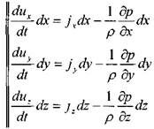
Теперь подставив выражения для ускорений в исходную систему дифференциальных уравнений движения жидкости, получим систему уравнений Эйлера в окончательном ви-де2:

Теперь вновь обратимся к системе дифференциальных уравнений движения жидкости, умножив обе части 1-го уравнения на dx, 2-го уравнения на dy, 3-го уравнения на dz, получим:

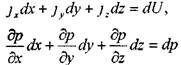
и просуммировав эти уравнения по частям, получим:

2 При неустановившемся движении жидкости уравнения Эйлера дополняются первыми слагаемыми.

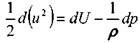
Преобразуем левую часть полученного уравнения, полагая, что
в результате запишем

Слагаемые в правой части уравнения являются полными дифференциалами функций.

Теперь уравнение примет вид

Если из массовых сил на жидкость действует только сила тяжести, то
, и
> ,*
тогда получим:
Рекомендация для Вас - Мембранные потенциалы.

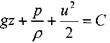
После интегрирования получим:
?
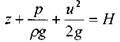
разделив почленно все члены уравнения на g, получим так называемое уравнение Бернулли

Здесь величина Н называется гидродинамическим напором Величина гидродинамического напора постоянна для всех живых сечений элементарной струйки идеальной жидкости.




















