Вычисление передаточных функций
Вычисление передаточных функций
Нахождение передаточной функции сложного соединения можно произвести несколькими способами. Один из них касается процедуры последовательного объединения элементов внутри схемы в блоки и нахождения передаточной функции такого блочного содинения элементов. Второй способ нахождения передаточной функции сложного соединения заключается в использовании формулы Мейсона [1]. Рассмотрим ее. Передаточная функция между двумя произвольными вершинами А и В графа определяется формулой:
,
где k - количество прямых путей между A и B; Wk - передаточная функция к -го прямого пути, равная произведению передаточных функций, входящих в этот путь ребер;
- определитель графа;
k- определитель к - го минора графа, полученного путем удаления всех ребер и вершин, лежащих на к - ом пути, а также всех ребер, входящих и исходящих из этих вершин. Такой определитель вычисляется по формуле:

где Wi - передаточные функции различных контуров; Wi Wj - произведение передаточных функций несоприкасающихся пар контуров; WiWjWl - произведение передаточных функций несоприкасающихся троек контуров и т.д. Под прямым путем между двумя заданными вершинами графа будем понимать непрерывную последовательность ветвей одного направления, при прохождении которой каждая вершина встречается не более одного раза. Под контуром будем понимать непрерывную последовательность ветвей одного направления, при прохождении которой можно вернуться в вершину начала прохождения, причем каждая вершина внутри контура встречается не более одного раза. Рассмотрим применение формулы Мейсона на примерах.
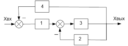
Пример 1.3. Для заданной схемы, где передаточные функции звеньев соответственно
, найти передаточную функцию соединения.


Рекомендуемые материалы
Решение. В схеме можно выделить только один прямой путь, проходящий через последовательное соединение элементов 1 и 3. Его передаточная функция равна
. Далее найдем в схеме замкнутые контуры. Их будет два. Один контур с элементами 1, 3, 4 и передаточной функцией
, а другой контур с элементами 2,3 и передаточной функцией
. Знак минус учитывает отрицательную обратную связь. Найдем определитель графа
, минор графа
. Подставим полученные результаты в формулу Мейсона, получим
.
Лекция "Общий осмотр" также может быть Вам полезна.
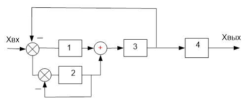
Пример 1.4. Для заданной схемы, где передаточные функции звеньев соответственно
, найти передаточную функцию соединения.

Решение. В схеме можно выделить два прямых пути с элементами 1,3,4 и 2,3,4 и с передаточными функциями
и
соответственно. В схеме определяются контура с элементами 1,3 ; 2,3; 2 и с передаточными функциями
,
,
соответственно.
Определитель графа
. Миноры графа, соответствующие прямым путям:
и
. Подставим полученные результаты в формулу Мейсона, получим
.






















