Преобразование Лапласа
Преобразование Лапласа. Понятие передаточной функции
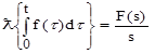
Преобразование Лапласа связывает функцию F(s) (изображение) комплексной переменной s с соответствующей функцией f(t) (оригиналом) действительной переменной t . Это соответствие, по существу, взаимно однозначное для большинства практических целей. Преобразование Лапласа характерно тем, что многим соотношениям и операциям над оригиналами соответствуют более простые соотношения и операции над их изображениями. Подход заключается в преобразовании уравнения, содержащего оригиналы f(t), в эквивалентное уравнение относительно соответствующих изображений Лапласа F(s), где s = s + jw на основе известной формулы преобразования [2]:
|
|
Рассмотрим часть основных свойств преобразования Лапласа, знание которых понадобится для работы с математическими моделями САУ:
- дифференцирование оригинала
|
|
- интегрирование оригинала
|
|
- линейность
|
|
Рекомендуемые материалы
Пусть динамика системы управления описывается уравнением вида:
|
|
где y(t) - управляемый параметр, g(t) - внешнее воздействие, вызывающее реакцию системы управления. Предполагаем, что имеют место нулевые начальные условия, то есть до приложения внешнего воздействия система находилась в состоянии равновесия (установившемся состоянии). Применим к обеим частям уравнения динамики преобразование Лапласа, получим:
| (b |
Проследим связь входных и выходных величин:
|
|
Введем функцию вида
|
| (1.6) |
Эта функция является передаточной. Передаточной функцией называется отношение изображений Лапласа выходной величины к входной при нулевых начальных условиях.
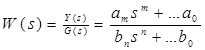
Передаточная функция элементов и систем является одной из важнейших характеристик, определяющих динамические свойства. Отметим, что для всех реальных (физически реализуемых) объектов степень полинома числителя передаточной функции не больше степени полинома знаменателя. Аппарат передаточных функций является эффективным при исследовании линейных стационарных систем, имеющих сложные структурные схемы. Обратный переход от изображения к оригиналу может осуществляться на основе обратного преобразования Лапласа, если оно существует. Для рациональных алгебраических функций обратное преобразование существует всегда и для его получения обычно применяется разложение Хевисайда, рассмотрим его. Пусть
| Люди также интересуются этой лекцией: Материальная часть СВД и оптических прицелов. A( s ) = am sm + ...+ a0, B( s ) = bn sn + ...+ b0 | ||
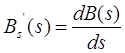
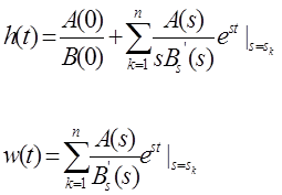
| представляют собой соответственно полиномы числителя и знаменателя передаточной функции W(s). Пусть корни полинома знаменателя не кратные, тогда переходную и весовую функции можно представить на основе разложения Хевисайда следующим образом:
|
При кратных корнях полинома знаменателя применяются другие формулы, учитывающие этот факт.






.
sn +...+ b
) Y ( s ) = (am sm + ... +ao) G ( s ).
.
.
.



















