Математическое моделирование
14.2. Математическое моделирование
Для построения математических моделей в гидравлике могут быть использованы процессы, имеющие единую с гидравликой природу взаимодействия физических тел. Т.е. моделями для процессов, протекающих в жидкостях и газах, могут служить лишь те физические процессы, которые относятся к группе электромагнитных взаимодействий, имеющих одного и того же переносчика взаимодействия - фотон. В таком случае основные процессы, протекающие в модели и натуре, будут иметь одинаковые уравнения, описывающие сходственные процессы.
Так для моделирования гидродинамического поля (поля скоростей движения жидкости и газа) могут быть использованы электрическое и тепловое поля.
"Манометры. Единицы давления" - тут тоже много полезного для Вас.
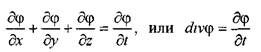
Из курса физики известны общие уравнения, характеризующие сплошность поля и его изменение. Это известное уравнение неразрывности:

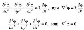
и так называемые уравнения неустановившегося (уравнение Фурье) и установившегося (уравнение Лапласа) движения:

Наиболее удобным для целей моделирования процессов протекающих в жидкостях и газах являются процессы, протекающие в электрическом поле, поскольку последние отличаются компактностью, доступностью для измерения и, что самое главное, высокой скоростью протекания. Такие особенности электрического поля сделали его популярным для моделирования различных процессов, был разработан специальный аппарат для построения электрических моделей процессов протекающих в жидкостях и газах, - метод электрогидродинамической аналогии (ЭГДА). Построенные на его базе серийные моделирующие комплексы вплоть до появления цифровых ЭВМ широко использовались в практике научных исследований и на прямом производстве. При решении ряда задач актуальность этого метода остаётся поныне.
Модели, строящиеся на базе теплового поля, используются крайне редко из-за трудоёмкости их создания и реализации.























