Кубическая сплайн-интерполяция
Кубическая сплайн-интерполяция
Пусть [a,b] разбит на N равных частей. Точки деления a = x0, x1, ..., xn = b. Длина каждого участка
.
Опр. Сплайн — функция, непрерывная вместе с производными до некоторого порядка на [a,b], являющаяся многочленом на каждом [xi–1,xi]
("кусочная функция").
Степень сплайна — максимальная из степеней многочленов.
Дефект сплайна — разность между степенью сплайна и наивысшим порядком непрерывной производной.
Сплайн-интерполяция — замена функции f(x) на сплайн, имеющий в узлах те же значения, что и f(x), и те же значения производных.
Опр. Кубический сплайн — сплайн третьей степени, имеющий непрерывную производную первого порядка.
Обозначение: S3(x).
Рекомендуемые материалы
Опр. Наклон сплайна в точке xi — значение производной
.
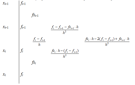
Рассмотрим один отрезок [xi–1,xi], h = xi – xi–1.
Пусть fi–1, fi — значения функции (следовательно, сплайна тоже),
fsi–1,fsi — значения производной функции.
Как в задаче интерполяции с кратными узлами, кратность каждого узла равна 2. Тогда существует многочлен степени 2+2–1 = 3, удовлетворяющий условиям задачи.
Составим таблицу предельных значений разделенных разностей:


После преобразования, найденную функцию можно записать в виде линейной комбинации значений fi–1, fi и fsi–1,fsi:
Вам также может быть полезна лекция "3.2 Доосевые культуры Древнего Востока".

Применение кубической сплайн-интерполяции:
При большом количестве N узлов интерполяции, когда поиск интерполяционного многочлена большой степени требует большого объема вычислений, вместо него находят кубический сплайн, составленный из многочленов третьей степени, определенных каждый на своем отрезке между узлами.
Если не известны наклоны сплайна (т.е. значения производной в узлах), вычисляют их примерное значение по формулам численного дифференцирования:
, для i = 1,...,N–1
,
.






















