Процессы размножения и гибели
5. Процессы размножения и гибели.
Процессы размножения и гибели являются частным случаем марковских случайных процессов, которые тем не менее находят весьма широкое применение при исследовании дискретных систем со стохастическим характером функционирования. Процесс размножения и гибели представляет собой марковский случайный процесс, в котором переходы из состояния Ei допустимы только в соседние состояния Ei-1, Ei и Ei+1. Процесс размножения и гибели является адекватной моделью для описания изменений, происходящих в объеме биологических популяций. Следуя этой модели, говорят, что процесс находится в состоянии Ei, если объем популяции равен i членам. При это переход из состояния Ei в состояние Ei+1 соответствует рождению, а переход из Ei в Ei-1 - гибели, предполагая, что объем популяции может изменяться не более чем на единицу; это означает, что для процессов размножения и гибели не допускаются многократные одновременные рождения и/или гибели.
Дискретные процессы размножения и гибели менее интересны, чем непрерывные, поэтому в дальнейшем они подробно не рассматриваются и основное внимание уделяется непрерывным процессам. Однако следует отметить, что для дискретных процессов проходят почти параллельные выкладки. Переход процесса размножения и гибели из состояния Ei обратно в состояние Ei представляет непосредственный интерес только для дискретных цепей Маркова; в непрерывном случае интенсивность, с которой процесс возвращается в текущее состояние, равна бесконечности, и эта бесконечность была исключена согласно определению (13).
В случае процесса размножения и гибели с дискретным временем вероятности переходов между состояниями

Здесь di - вероятность того, что на следующем шаге (в терминах биологической популяции) произойдет одна гибель, уменьшающая объем популяции до i-1 при условии, что на данном шаге объем популяции равен i. Аналогично, bi - вероятность рождения на следующем шаге, приводящего к увеличению объема популяции до i+1; 1-di-bi представляет собой вероятность того, что ни одно из этих событий не произойдет и на следующем шаге объем популяции не изменится. Допускаются только эти три возможности. Ясно, что d0=0, так как гибель не может наступить, если некому погибать.
Однако в противовес интуиции допускается, что b0>0, что соответствует возможности рождения, когда в популяции нет ни одного члена. Хотя это можно расценивать как спонтанное рождение или божественное творение, но в теории дискретных систем такая модель представляет собой вполне осмысленное допущение. А именно, модель такова: популяция представляет собой поток требований, находящихся в системе, гибель означает уход требования из системы, а рождение соответствует поступлению в систему нового требования. Ясно, что в такой модели вполне возможно поступление нового требования (рождение) в свободную систему. Матрица вероятностей переходов для общего процесса размножения и гибели имеет следующий вид:

Если цепь Маркова является конечной, то последняя строка матрицы записывается в виде [0 0… 0dn1-dn]; это соответствует тому, что не допускаются никакие размножения после того, как популяция достигает максимального объема n.
Рекомендуемые материалы
Матрица T содержит нулевые члены только на главной и двух ближайших к ней диагоналях. Из-за такого частного вида матрицы T естественно ожидать, что анализ процесса размножения и гибели не должен вызывать трудностей.
Далее будем рассматривать только непрерывные процессы размножения и гибели, в которых переходы из состояния Ei возможны только в соседние состояния Ei-1 (гибель) и Ei+1 (рождение). Обозначим через li интенсивность размножения; она описывает скорость, с которой происходит размножение в популяции объема i. Аналогично, через mi обозначим интенсивность гибели, задающую скорость с которой происходит гибель в популяции объема i. Заметим, что введенные интенсивности размножения и гибели не зависят от времени, а зависят только от состояния Ei, следовательно, получаем непрерывную однородную цепь Маркова типа размножения и гибели. Эти специальные обозначения введены потому, что они непосредственно приводят к обозначениям, принятым в теории дискретных систем. В зависимости от ранее введенных обозначений имеем:
li= qi,i+1 и mi= qi,i-1.
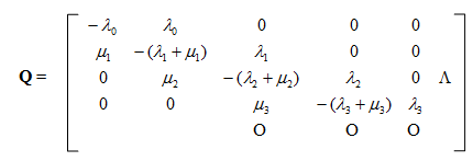
Требование о допустимости переходов только в ближайшие соседние состояния означает, что исходя из (14), qii=-(mi+ li). Таким образом, матрица интенсивностей переходов общего однородного процесса размножения и гибели принимает вид

Заметим, что за исключением главной и соседних с ней снизу и сверху диагоналей все элементы матрицы равны нулю. Соответствующий граф интенсивностей переходов представлен на рис. 4.
Более точное определение непрерывного процесса размножения и гибели состоит в следующем: некоторый процесс представляет собой процесс размножения и гибели, если он является однородной цепью Маркова с множеством состояний {E0, E1, E2, …}, если рождение и гибель являются независимыми событиями (это вытекает непосредственно из марковского свойства) и если выполняют следующие условия:
1) Pr [точно 1 рождение в промежутке времени (t,t+Δt)| объем популяции равен i]=
;
2) Pr [точно 1 гибель в промежутке времени (t,t+Δt)| объем популяции равен i]=
;
3) Pr [точно 0 рождений в промежутке времени (t,t+Δt)| объем популяции равен i]=
;
4) Pr [точно 0 гибелей в промежутке времени (t,t+Δt)| объем популяции равен i]=
.
Согласно этим предположениям кратные рождения, кратные гибели и одновременные рождения и гибели в течение малого промежутка времени (t, t+Δt) запрещены в том смысле, что вероятность таких кратких событий имеет порядок о(Δt).
Вероятность того, что непрерывный процесс размножения и гибели в момент времени t находится в состоянии Ei (объем популяции равен i) определяется напрямую из (16) в виде


Для решения полученной системы дифференциальных уравнений в нестационарном случае, когда вероятности Pi(t), i=0,1,2,…, зависят от времени, необходимо задать распределение начальных вероятностей Pi(0), i=0,1,2,…, при t=0. Кроме того, должно удовлетворяться нормировочное условие.

Рис.4. Граф интенсивностей переходов для процесса размножения и гибели.
Рассмотрим теперь простейший процесс чистого размножения, который определяется как процесс, для которого mi = 0 при всех i. Кроме того, для еще большего упрощения задачи предположим, что li=l для всех i=0,1,2,... . Подставляя эти значения в уравнения (18) получим


Для простоты предположим также, что процесс начинается в нулевой момент при нуле членов, то есть:


Отсюда для P0(t) получаем решение
P0(t)=e-lt.
Подставляя это решение в уравнение (19) при i = 1, приходим к уравнению
.
Решение этого дифференциального уравнения, очевидно, имеет вид
P1(t)= lte-lt.
Далее по индукции в качестве решения уравнения (19) находим
.
Это знакомое нам распределение Пуассона. Таким образом, процесс чистого размножения с постоянной интенсивностью l приводит к последовательности рождений, образующей пуассоновский процесс.
Наибольший интерес в практическом плане представляют вероятности состояний процесса размножения и гибели в установившемся режиме. Предполагая, что процесс обладает эргодическим свойством, т.е. существуют пределы
перейдем к определению предельных вероятностей Pi.
Уравнения для определения вероятностей стационарного режима можно получить непосредственно из (18), учитывая, что dPi(t)/dt = 0 при
:


Полученная система уравнений решается с учетом нормировочного условия


Систему уравнений (21) для установившегося режима процесса размножения и гибели можно составить непосредственно по графу интенсивностей переходов на рис.4, применяя принцип равенства потоков вероятностей к отдельным состоянием процесса. Например, если рассмотреть состояние Ei в установившемся режиме, то:
интенсивность потока вероятностей в
и
интенсивность потока вероятностей из
.
В состоянии равновесия эти два потока должны быть равны, и поэтому непосредственно получаем

Но это как раз и есть первое равенство в системе (21). Аналогично можно получить и второе равенство системы. Те же самые рассуждения о сохранении потока, которые были приведены ранее, могут быть применены к потоку вероятностей через любую замкнутую границу. Например, вместо того, чтобы выделять каждое состояние и составлять для него уравнение, можно выбрать последовательность контуров, первый из которых охватывает состояние E0, второй - состояние E0 и E1, и т.д., включая каждый раз в новую границу очередное состояние. Тогда для i-го контура (окружающего состояния E0, E1, ..., Ei-1) условие сохранения потока вероятностей можно записать в следующем простом виде:

.
Полученная система уравнений эквивалентна выведенной ранее. Для составления последней системы уравнений нужно провести вертикальную линию, разделяющую соседние состояния, и приравнять потоки через образовавшуюся границу.
Решение системы (23) можно найти методом математической индукции.
При i=1 имеем:

при i=2:

при i=3:
и т.д.
Вид полученных равенств показывает, что общее решение системы уравнений (23) имеет вид

или, учитывая, что, по определению, произведение по пустому множеству равно единице
Рекомендация для Вас - 1.4 Литература Древней Руси (IX-XIII веков).

Таким образом, все вероятности Pi для установившегося режима выражаются через единственную неизвестную константу P0. Равенство (22) дает дополнительное условие, позволяющее определить P0. Тогда, суммируя по всем i, для P0 получим:

Обратимся к вопросу о существовании стационарных вероятностей Pi. Для того, чтобы полученные выражения задавали вероятности, обычно накладывается требование, чтобы P0 > 0. Это, очевидно, налагает ограничение на коэффициенты размножения и гибели в соответствующих уравнениях. По существу требуется, чтобы система иногда опустошалась; это условие стабильности представляется весьма резонным, если обратиться к примерам реальной жизни. Определим следующие две суммы:

Все состояния Ei рассматриваемого процесса размножения и гибели будут эргодическими тогда и только тогда, когда S1 <
и S2 =
. Только эргодический случай приводит к установившимся вероятностям Pi, i = 0, 1, 2, …, и именно этот случай представляет интерес. Заметим, что условия эргодичности выполняются только тогда, когда, начиная с некоторого i, все члены последовательности {
} ограничены единицей, т.е. тогда, когда существует некоторое i0 (и некоторое С<1) такое, что для всех i
i0 выполняется неравенство: 






















