Решение матричных игр в смешанных стратегиях с помощью Excel
Решение матричных игр в смешанных стратегиях с помощью Excel
Как уже отмечалось, любая парная игра с нулевой суммой может быть сведена к решению задачи линейной оптимизации. Используя значение функции и неизвестных взаимно двойственных задач линейной оптимизации, легко найти цену игры и вероятности применения стратегий каждым из игроков.
Пример 1.
В качестве примера применения информационных технологий Excel найдем решение парной игры с платежной матрицей

Решение
Для данной задачи
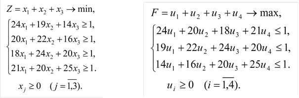
(седловая точка отсутствует). Запишем пару двойственных задач линейной оптимизации для решения игры.
![]() |
Решим исходную и двойственную задачи с помощью Excel.
Рекомендуемые материалы
Внесем данные на рабочий лист в соответствии с Рис. 4.1.

Рис. 4.1. Данные для решения исходной задачи примера 1.
В ячейки E3:E6 введем формулы для расчета функций – ограничений, ячейки B9:D9 отведем для переменных
, ячейку B15 – для расчетного значения цены игры
, диапазон ячеек F12:H12 – для расчетных значений вероятностей применения стратегий игроком I, и, наконец, ячейку F9 – для расчета целевой функции. Введем все необходимые формулы в соответствующие ячейки. Установим все необходимые ограничения исходной задачи перед запуском Поиска решения. С помощью Поиска решения получим следующий результат:
| x1 | x2 | x3 | ЦФ | |||
| 0,020182 | 0,02474 | 0,003255 | 0,048177 | |||
| P1 | P2 | P3 | ||||
| 0,4189 | 0,5135 | 0,0676 | ||||
| g | ||||||
| 20,75676 |
Таким образом, оптимальная смешанная стратегия игрока I :
.
Решим двойственную задачу. Во избежание возможных ошибок расположим данные для ее решения на отдельном рабочем листе Excel (Рис. 4.2.).

Рис. 4.2. Данные для решения двойственной задачи примера 1.
Ввод данных и формул производится аналогично предыдущему случаю. Поиск решения дает ответ:
| U1 | 0,0026 | Q1=U1*g | 0,0541 | ЦФ | |
| U2 | 0,0195 | Q2=U2*g | 0,4054 | 0,048177 | |
| U3 | 0,0000 | Q3=U3*g | 0,0000 | g | |
| U4 | 0,0260 | Вам также может быть полезна лекция "18.5 Интеллигенция в России". Q4=U4*g | 0,5405 | 20,75676 |
Таким образом, оптимальная смешанная стратегия игрока II есть:
.
























