Для студентов МГТУ им. Н.Э.Баумана по предмету Теория функций комплексного переменного (ТФКП)Теория функций комплексного переменногоТеория функций комплексного переменного
5,00511
2020-10-022020-10-02СтудИзба
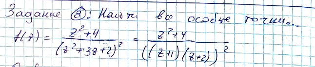
ДЗ 1: Теория функций комплексного переменного вариант 6
Описание
Характеристики домашнего задания
Учебное заведение
Семестр
Номер задания
Вариант
Теги
Просмотров
151
Размер
5,26 Mb
Список файлов
6.pdf
Время дороже пары сотен. Прошу поставить оценку после скачивания. Если где-то забыл добавить корректное описание - пишите, подскажу.
Отзывы
Отзыв
Спасибо, всё супер



МГТУ им. Н.Э.Баумана
studizba_fan_club


















