Для студентов МГТУ им. Н.Э.Баумана по предмету Теоретическая механикаУравнения Лагранжа 2-го родаУравнения Лагранжа 2-го рода
5,00518
2023-02-032024-09-03СтудИзба
ДЗ 3: Уравнения Лагранжа 2-го рода вариант 6
-66%
Описание
Вариант 6 - ДЗ №3 - Уравнения Лагранжа 2-го рода (специалисты)
Зачтено на максимальный балл
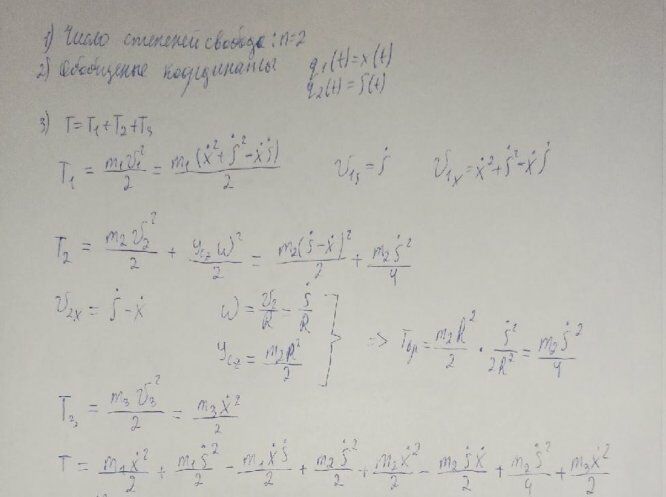
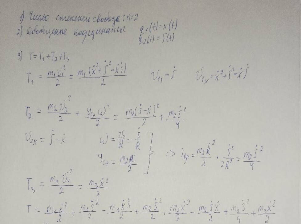
6. Призма 3 перемещается по шероховатой горизонтальной плоскости. Каток 2 катится без скольжения по верхней грани призмы 3. К оси катка прикреплен трос, который перекинут через невесомый блок 4 и другим концом прикреплен к грузу 1, скользящему по гладкой грани призмы. Грань образует с горизонтальной плоскостью угол α. Составить дифференциальные уравнения движения данной механической системы. В расчетах принять: 1) массы звеньев m1, m2, m3; 2) угол α = π/3 рад; 3) коэффициент трения скольжения призмы о плоскость f; 4) сопротивлением в осях и массой троса пренебречь.


Файлы условия, демо
Характеристики домашнего задания
Предмет
Учебное заведение
Семестр
Номер задания
Вариант
Теги
Просмотров
601
Размер
1,03 Mb
Список файлов
Capture.JPG
1.jpg
2.jpg
3.jpg

Друзья, спасибо за доверие! Если вам понравилась работа – поставьте 5⭐ и напишите отзыв. Это поможет другим студентам, а мне даст силы делать ещё больше качественных материалов для вас 🔥