Печатание
3 печатание
Печатание - технологический процесс получения рисунков (одно- или многоцветных) на тканях, трикотажных полотнах или изделиях. Отличается от крашения а) способом нанесения красителя на ТМ; б) составом печатных красок, которые, в отличие от красильного раствора, содержат загустки.
1.1. Загустки
Загустки придают печатной краске вязкость и клейкость для обеспечения высокого качества печати: ровноты печати, интенсивности окраски рисунка, глубины проникновения краски в ткань, четких контуров рисунка. Загустка не должна взаимодействовать с красителем и другими компонентами печатной краски, должна легко удаляться с ткани при промывке (загустка придает ткани в местах рисунка жесткость, содержит много незафиксированного красителя), должна быть дешевой и недефицитной.
Классификация загусток.
1. Вязкие водные растворы высокомолекулярных загустителей
Концентрация загустителей в составе печатных красок,%
| природные | искусственные | Рекомендуемые материалыFREE Шпаргалка по педагогике FREE Шпаргалка по психологии и педагогике FREE Полный_зачет_шпаргалка_по_криминологии Методы и инструменты организации форм сетевого взаимодействия. FREE Шпаргалка по возрастной психологии FREE Шпаргалка по основам безопасности жизнедеятельности синтетические | |||
| Крахмал | 10-20 | Карбоксиметил- целлюлоза (КМЦ) | 6 – 12 | Поливиниловый спирт | 30 – 40 |
| Альгинат натрия | 5-8 | ||||
| Трагант | 6 | Карбоксиметил- крахмал (КМК) | 8 – 10 | Акрилатные загустки | 1 – 3 |
| Камедь | 30-50 |
2. Коллоидные двухфазные загустки:
а) эмульсионные б) пенные
Представляют собой двухфазные гетерогенные системы, состоящие из дисперсионной среды (водный раствор эмульгатора или пенообразователя) и диспергированной фазы в виде мельчайших капелек другой жидкости (эмульсия) или пузырьков воздуха (пена). В качестве диспергированной фазы в эмульсионных загустках используют уайт-спирит, велоситовое, машинное или веретенное масла, которые при получении эмульсии путем механического перемешивания разбиваются на мельчайшие капельки диаметром до 0,75 мкм. Загущающая способность эмульсии зависит от концентрации диспергированной фазы и повышается при ее увеличении. В качестве эмульгаторов и пенообразователей используются ПАВ. Недостатком эмульсионных загусток является горючесть и неустойчивость при хранении.
3.2. Способы печатания
1. Печатание на машинах с гравированными валами. Применяется для х/б, вискозных и смешанных тканей. V=80 м/мин.
2. Печатание на машинах с плоскими сетчатыми шаблонами (фотофильмпечать).
Применяется для шелковых тканей и трикотажных полотен. Получают рисунки любой сложности. Недостаток - низкая производительность.
3. Печатание на машинах с цилиндрическими (ротационными) сетчатыми шаблонами. Применяется для любых тканей и тр. полотен. Современные высокопроизводительные машины (V = 100-150 м/мин).
4. Печатание на термопрессах или термокаландрах (переводная печать).
3.3. Виды печати
Различают следующие виды печати: прямую, вытравную и резервную.
Прямая печать.
При прямой печати на белую или светлоокрашенную ткань наносят методом печати темный рисунок (накладная печать). Цвет ткани не должен искажать цвета рисунка.
Для прямой печати используют красители, дающие окраски высокой прочности: активные, кубовые, нерастворимые азокрасители, пигменты, дисперсные красители.
Технология способов печатания в большинстве аналогична технологии непрерывных способов крашения.
Технологическая схема прямой печати:
Печатание по белой или светлоокрашенной ткани и сушка на печатной машине → запаривание или термообработка для диффузии красителя в волокно →
→ промывка для удаления загустки и незафиксированного красителя → сушка.
Вытравная печать.
Цель - получение мелкого светлого рисунка на предварительно окрашенной в темный цвет ткани. Достигается путем нанесения на окрашенную ткань печатной краски, содержащей вещества, разрушающие и обесцвечивающие краситель.
Технологическая схема вытравной печати:
Крашение ткани в темный цвет → промывка → сушка → печатание вытравной печатной краской → запаривание для разрушения красителя (8-10 минут) → промывка → сушка
Наиболее широко используется восстановительная вытравка, при которой в состав краски входит восстановитель ронгалит. Содержание ронгалита в печатной краске 30 - 300 г/кг. При запаривании происходит разложение ронгалита с выделение водорода и восстановление красителя, которым была окрашена ткань. Восстановлению и в результате этого обесцвечиванию легко подвергаются красители, содержащие азогруппу —N=N—:
R1 – N = N – R2 + 4Н → R1 – NH2 + H2N – R2
азокраситель смесь неокрашенных продуктов
Под восстановительную вытравку ткани окрашивают обычно прямыми или образуемыми на волокне нерастворимыми азокрасителями.
Для получения светлого цветного рисунка на темном фоне в состав краски вводят кубовые красители, ронгалит и гидроксид натрия. При запаривании кроме разрушения красителя фона происходит восстановление и растворение кубового красителя и диффузия в волокно соли лейкокислоты кубового красителя. Далее следует окислительная обработка для перевода кубового красителя в исходное нерастворимое состояние и промывка, сушка.
Резервная печать.
Цель - получение мелкого светлого рисунка на темном фоне путем
нанесения на ткань резервной печатной краски, препятствующей фиксации красителя в местах рисунка при последующем крашении.
Технологическая схема резервной печати:
Печатание резервной печатной краской и сушка → термообработка для фиксации компонентов краски → плюсование раствором красителя → запаривание для диффузии красителя в волокно → промывка → сушка.
В местах нанесения печатной краски ткань не окрашивается. Резервирование осуществляется несколькими методами:
1.образование в местах рисунка нерастворимой полимерной пленки, препятствующей адсорбции и диффузии красителя в волокно при крашении;
2.создание на поверхности ткани в местах рисунка условий, в которых фиксация красителя невозможна.
Пример: резервная печать с использованием нерастворимых азокрасителей.
а) печатание краской,
содержащей

плюсование ткани соли А1 или Zn плюсование ткани
щелочным раствором раствором диазоля,

азотола и сушка промывка и сушка
б) печатание краской, содержащей
кислоту или восстановитель
а) соли Al или Zn в щелочной среде образуют на ткани нерастворимые осадки Al(OH)3 или Zn(OH)2 , препятствующие реакции диазоля с азотолом.
б) кислота препятствует протеканию реакции азосочетания, восстановитель разрушает образующийся азокраситель.
В результате в местах нанесения печатной краски азокраситель не образуется и ткань остается белой.
3.4. Печатание активными красителями.
Активные красители не должны взаимодействовать с загустителями. Загуститель не должен содержать свободных –ОН групп. Используются: альгинат Na, КМЦ.
Одностадийный способ
Печатание краской:
А Кр 5 – 10 г/кг запаривание 1-5 мин промывка 950С
NaHCO3 10 – 20 → сушка → или → раствором ПАВ,
мочевина 50 – 100 ТО 1400С 5 мин водой→сушка
Загустка
альгинатная до 1000 кг
При запаривании или термообработке:
- происходит диффузия АКр в волокно;
- повышается щелочность на ткани в результате разложения NaHCO3 и происходит ковалентная фиксация АКр на волокне.
3.5. Печатание кубовыми красителями
Используются загустители, устойчивые к восстановителям: альгинат Na, КМЦ, крахмально-трагантная, крахмально-формальдегидная загустки.
1. Щелочно-восстановительный (щелочно-гидросульфитный) способ
Кубовый краситель восстанавливают гидросульфитом при приготовлении печатной краски в щелочной среде. В остывшую краску вводят ронгалит.
Печатание → сушка → зреление (запаривание) 5-7 мин. → промывка окислительным раствором → промывка раствором ПАВ → промывка водой.
Ронгалит восстанавливает кубовый краситель, окислившийся в процессе сушки после печати. Недостаток – двойной расход восстановителя.
2. Поташно-ронгалитный способ
Используют красители в высокодисперсной форме (индекс Д) или пасты красителей. Предварительного восстановления красителя не производится.
Печатание краской, содержащей:
Куб. краситель
(паста) - 120 г/кг
Поташ - 100
Ронгалит - 80
Загустка - до 1000
Технологическая схема процесса:
Печатание → сушка → запаривание 10-12 мин. → промывка окислительным раствором → промывка раствором ПАВ → промывка водой
При запаривании протекает реакция К2СО3 + НОН→ 2КОН + СО2↑, в результате чего повышается щелочность и:
- происходит восстановление и растворение кубового красителя;
- идёт диффузия растворимой соли кубового красителя в волокно и адсорбция на внутренней поверхности волокна.
3. Двухфазный способ
Используют кубовые красители Д. Аналог суспензионного способа крашения. Печатная краска содержит кубовый краситель Д и загустку.
Печатание → сушка → плюсование щелочно-восстановительным раствором→ →запаривание 110 – 1200С 25 – 45 с. → промывка окислительным раствором →
→промывка ПАВ → промывка водой → сушка
3.6. Печатание дисперсными красителями
Используются загустители: альгинат Na, КМЦ, КМК, камедь, трагант.
1. Традиционный способ.
Используются дисперсные красители, устойчивые к сублимации.
Печатают краской, содержащей:
Дисперсный краситель,
Интенсификатор
(резорцин, мочевина)
Загустка
Технологическая схема процесса:
Печатание → сушка → запаривание 15 – 20 мин или термообработка 150 – 1800С, 4 – 5 мин → промывка
2. Термопереводной способ «Сублистатик»
Используются красители, способные сублимироваться (возгоняться, т.е. переходить при нагревании из твёрдого сразу в газообразное состояние) при 150 – 2200С (31 марка).
Красители наносят на бумагу на машинах с сетчатыми шаблонами или полиграфическим способом. Последний позволяет получить очень высокое качество рисунка. Бумага для переводной печати должна быть прочной в сухом и мокром состоянии, не усаживаться, не поглощать краситель, быть термостойкой.
1стадия – нанесение красителя на бумагу;
2 стадия – перевод красителя с бумаги на ткань.
Ткань и бумагу накладывают лицевыми сторонами друг на друга и на специальных переводных термокаландрах подвергают термообработке при 180 – 2200С в течение 10 – 40 с. Краситель сублимируется, его пары проникают в поры волокон и конденсируются там. Затем ткань охлаждают.
Достоинства: не требуется запаривание, промывка, тем самым сокращается расход воды и количество сточных вод.
3.7. Печатание пигментами
Пигменты – нерастворимые в воде красители (органические окрашенные соединения, минеральные пигменты, оксиды Zn, Ti, Al и бронзовая пудры, сажа). Не имеют сродства к волокнам. Наносят на ТМ в дисперсии веществ, образующих на волокнах прозрачную, гибкую, нерастворимую и прочно сцепленную с волокном плёнку.
Достоинства: 1. печать по тканям из любых волокон; 2. нет промывки.
Пигменты фиксируют на волокнах с помощью:
- пленкообразующих веществ: латексы синтетических каучуков, производные акриловой кислоты;
- связующих веществ: предконденсаты термореактивных смол - карбамол, метазин, гликазин и др.
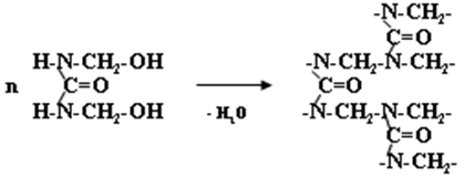
![]() |
HN – CH2 - OH
|
C = O
|
HN – CH2 - OH
Карбамол Метазин
При ТО 130 – 1400C в присутствии кислого катализатора (NH4Cl, MgCl2) конденсируются с образованием нерастворимого полимера, удерживающего частицы пигмента, и фиксирующиеся на волокнах ковалентными связями:

Загустки – двухфазные коллоидные или на основе сополимеров акриловой кислоты (акрилатные), образующие на поверхности волокон гибкие и нерастворимые пленки.
Рекомендуем посмотреть лекцию "4 Характеристика основополагающих стандартов".
Состав печатной краски: Технология: печатание краской,
Пигмент (паста) 70 г/кг сушка
Связующее карбамол 100 ↓
Латекс СК 130 термообработка 140 – 1500С
Катализатор NH4Cl 10 2 – 3 мин.
Загустка акрилатная до 1000






















