Заключительная отделка
4 заключительная отделка
Цель – улучшение качества ТМ после процессов крашения и печатания и придание специальных свойств.
Механические процессы заключительной отделки: разглаживание ТМ, исправление перекосов утка тканей или петельной структуры трикотажных полотен, придание стандартной ширины, ворсование, стрижка и др.
Химические процессы: аппретирование для придания специальных свойств: жесткости или мягкости, малосминаемости, малоусадочности, водо-, масло- или грязеотталкивающих свойств, блеска, тиснение, плиссирования и др. в зависимости от назначения и дальнейшего использования текстильного изделия.
Химические вещества, используемые для придания специальных свойств ТМ называются аппретами, а процесс обработки – аппретированием.
Технологическая схема аппретирования:
Плюсование аппретом → сушка → термообработка → промывка (редко)
Аппреты по устойчивости получаемого эффекта делятся на:
Рекомендуемые материалы
1. смываемые – эффект исчезает после 1 стирки: крахмал, декстрин, антистатики;
2. малосмываемые – эффект сохраняется в течение 4 – 5 стирок: латексы или эмульсии термопластичных полимеров (полиэтиленовая, поливинилацетатная, на основе акриловых сополимеров, синтетических каучуков);
3. несмываемые – выдерживают многократные стирки и другие обработки: предконденсаты термореактивных смол – карбамолы, метазин, гликазин.
4.1. Придание жесткости, наполненности, добротности
Обычно применяется для х/б и смешанных тканей для удобства раскроя.
Ткани аппретируют смываемыми или малосмываемыми аппретами концентрации 20 – 50 г/л и высушивают на барабанных сушильных машинах.
В процессе сушки полимерная плёнка равномерно распределяется на поверхности волокон. Прочность тканей на разрыв повышается на 20 – 52 %, а устойчивость к истиранию возрастает в 2 – 10 раз.
4.2. Малосминаемая и малоусадочная отделка.
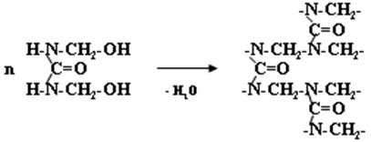
ТМ аппретируют несмываемыми аппретами, содержащими предконденсаты термореактивных смол – карбамолы или метазин:
HN – CH2 - OH СН2 – N – CH2 – OH
| |
C = O C = O
| |
HN – CH2 - OH CH2– N – CH2 – OH
Карбамол Карбамол ЦЭМ Метазин
Аппрет содержит (в г/л):
карбамол или метазин – 100 – 200;
катализатор NH4Cl или MgСl2 – 10;
эмульсию термопластичного полимера или латекс – 5 – 20;
мягчители: стеарокс, алкамон – 5 – 10;
гигроскопическое вещество: мочевина – 10;
оптический отбеливатель – 1.
Ткань плюсуют при 20 – 300С → сушка 110 – 1400С → термообработка при
140 – 150 0С
в течение 4 – 5 минут.
При термообработке протекает реакция поликонденсации с образованием нерастворимой поперечносшитой эластичной смолы, заполняющей поры и пустоты в волокнах, что приводит к повышению их эластичности.

Кроме того, предконденсаты взаимодействуют с функциональными группами волокон, образуя между их макромолекулами поперечные сшивки. Это приводит к фиксации взаимного расположения макромолекул в аморфных областях волокон, предотвращая их смещение при внешних деформирующих нагрузках или набухании. Снижение набухаемости волокон приводит к снижению усадки ТМ в процессах мокрых обработок и сушки.
При проведении термообработки на специальном оборудовании можно получить на тканях блеск, лощение, эффекты плиссирования, гофрирования, тиснения или придать любую нужную форму.
4.3. Водоотталкивающая отделка
Цель – придание ТМ способности не смачиваться и не впитывать воду.
Два основных вида отделки:
1. водонепроницаемая, при которой на поверхность ткани наносится сплошной слой гидрофобного вещества, закрывающего поры, межволоконные и межнитяные пространства. Но при этом ткань полностью теряет воздухопроницаемость. Пример: искусственная кожа, кирза – ткани, покрытые слоем ПВХ или резины.
2. водоотталкивающая, при которой изменяется характер поверхности каждого отдельного волокна. При этом ткань не смачивается водой, но хорошо пропускает воздух.
Молекулы гидрофобизаторов имеют:
- длинный гидрофобный радикал – (СН2)n-СН3, где n = 15 – 16;
- реакционноспособную группу, благодаря которой они фиксируются на волокне.

← гидрофобный радикал,
образующий гидрофобный слой
← реакционноспособная группа
волокно
Основные гидрофобизаторы:
1. Препарат 246 – велан:
Cl-
С18Н37-О-СН2-N+C5Н5 + НО-Целл-за → С18Н37-О-СН2-О-Целл-за + NC5H5 + HCl
пиридин
Велан ковалентно фиксируется на волокне.
Технологическая схема:
Плюсование эмульсией препарата → сушка → термообработка (1400С, 4 мин) → промывка для удаления пиридина → сушка.
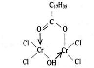
2. Хромолан
Для гидрофобной отделки шерстяных материалов часто используют Хромолан (хромстеарилхлорид), который полимеризуется на волокне и ковалентно фиксируется на нём:

Волокно
Хромолан
Ткань пропитывают эмульсией хромолана 90 г/л и уротропина 9 г/л и высушивают при температуре 95 – 1050С. Уротропин вводят для нейтрализации выделяющейся кислоты НСl.
3. Кремнийорганические соединения (силиконы)
Для гидрофобной отделки используются силиконы различного химического строения, но наиболее часто используются полиалкилгидросилоксаны:
Н
/
[– Si – O – ]n , где n =10 – 12; R: – CH3; –C2H5 (ГКЖ-94М или ГКЖ-94).
R
Ткань плюсуют 5 – 6 % эмульсией силиконов, высушивают при 800С и подвергают термообработке при 1500С в течение 5 минут. На волокне происходит образование гидрофобной гибкой плёнки. Помимо высокого и устойчивого гидрофобного эффекта ткань приобретает повышенную устойчивость к истиранию.
4. Фторорганические препараты
Фторорганические препараты придают тканям не только высокую гидрофобность, но и олеофобность, т.е. способность не смачиваться маслами.
4.4. Антистатическая отделка текстильных материалов
При трении гидрофобных волокон возникает статический электрический заряд, который накапливается на текстильном материале из-за отсутствия пленки электропроводной влаги.
Удельное поверхностное сопротивление гидрофильных материалов обычно составляет 107–1012 Ом, гидрофобных - 1011–1015Ом.
Антистатические обработки могут либо препятствовать возникновению зарядов, либо способствовать рассеянию уже возникших зарядов в результате:
1. уменьшения коэффициента трения между волокнами;
2. увеличения электропроводности волокон;
3. увеличения диэлектрической проницаемости среды между трущимися волокнами.
К химическим методам снижения электризуемости волокнистых материалов относятся:
- введение антистатиков в полимерную массу на стадии формования;
- нанесение на поверхность волокна веществ, снижающих электризуемость;
- модификация поверхности волокна.
Наибольшее применение в качестве антистатиков нашли:
- катионактивные ПАВ: алкамон Д, тетрамон С, марвелан;
- неионогенные ПАВ: стеарокс-6, стеарокс-920, препарат ОС-20.
Поверхностно-активные вещества, адсорбируясь на поверхности волокна, образуют хорошо ориентированный гидрофильный слой, сорбирующий влагу из воздуха, что способствует стеканию электрического заряда:
Воздух, пары воды
гидрофильный слой молекул ПАВ
Волокно
Применяют антистатики в виде растворов концентрации 5—20 г/л, нанося путем плюсования или добавляя в последнюю промывную ванну на линиях непрерывного действия или в аппараты периодического действия. Недостатком такой обработки является неустойчивость приданного эффекта к стирке.
Обратите внимание на лекцию "10.2 Особенности социально-экономического развития страны".
Для придания антистатических свойств, устойчивых к стиркам, применяют специальные препараты, представляющие собой химические соединения, способные образовывать на поверхности волокна нерастворимые гидрофильные полимеры, обладающие высокой проводимостью.
К таким препаратам относятся препараты эпамин-06 и эпамин-15. Текстильные материалы обрабатывают в плюсовке при 20—25 °С водной композицией, содержащей:
эпамина-06…………………..60—80 л/г,
карбоната натрия ………….…5—6 г/л;
мягчителя стеарокса-6………5—6 г/л.
Далее ткани или трикотажные полотна обрабатывают в сушильно-ширильно-стабилизационной машине, где сначала сушат при температуре 100—120°С, а затем подвергают термообработке при 170—180°С.






















