Моделирование систем массового обслуживания с отказами
3. Моделирование систем массового обслуживания с отказами
Первоначально рассмотрим простейшую систему массового обслуживания - работу одноканальной системы массового обслуживания с потерями. На примере этой системы покажем основные принципы получения формул для расчета систем массового обслуживания.
На вход системы поступает пуассоновский поток требований с интенсивностью λ, а время обслуживания Тоб распределяется по показательному закону, интенсивность которого v = 1/Tоб. Требование, поступающее в систему в тот момент, когда обслуживающий канал занят, покидает систему.
Необходимо определить основные характеристики системы: абсолютную пропускную способность А, т.е. ее производительность, и относительную пропускную способность q, эквивалентную коэффициенту полезного действия системы.
Формулы дои анализа и расчета систем массового обслуживания получают следующим образом:
строят граф состояний системы S;
описывают вероятности состояний системы;
определяют вероятности переходов из одного состояния в другое;
строят дифференциальные уравнения поведения системы;
Рекомендуемые материалы
решают систему дифференциальных уравнений;
на основе решения системы получают зависимости для расчета характеристик системы массового обслуживания.
Одноканальная система массового обслуживания S может находиться в двух состояниях:
S0 когда в системе нет требований и обслуживающий канал свободен;
S1 когда в системе имеется требование и канал занят его обслуживанием.
Из состояния So система может перейти в состояние Si и, наоборот. Из состояния So в Si система переходит при поступлении требования, а из состояния Si в So - по окончании обслуживания требования. Иначе говоря, из состояния So в состояние Si систему переводят входящий поток с интенсивностью λ, а из Si в So - поток обслуживании с интенсивностью v.
Граф состояний системы приведен на рис. Х.2. Обозначим вероятности состояний So и Si соответственно Ро и Pi . Очевидно, что Po+Pi = l.

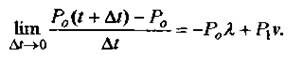
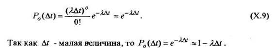
Определим вероятность пребывания системы в состоянии So(Po) и изменения этого состояния за малый отрезок времени ∆t, т.е. вероятность того, что в момент (t + ∆t) система будет в состоянии So. Это событие может произойти двумя способами:
в момент t система находилась в состоянии So и за время ∆t не изменила состояния (So → ∆t → So);
в момент t система была в состоянии S1 и за время ∆t перешла в состояние So (S1→ ∆t → So).
Вероятность первого варианта обозначим РA а второго РB. Вероятность первого варианта найдем по теореме умножения вероятностей. Она равна произведению вероятности пребывания системы в состоянии So на условную вероятность того, что система из состояния So не перейдет в S1
|
|
| Так как поток пуассоновский, по формуле (Х.7) получим |
|
|
Тогда вероятность того, что состояние системы не изменится, будет равна

Раскроем скобки в правой части, перенесем Ро в левую часть и разделим обе части равенства на ∆t, в результате этого получим

При ∆t, стремящемся к нулю, перейдем к пределам и получим

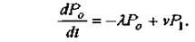
Так как выражение в правой части представляет первую производную, получаем дифференциальное уравнение для состояния So

Аналогичным образом можно получить дифференциальное уравнение состояния S1

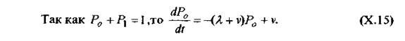
Таким образом, дифференциальные уравнения для вероятностей состояний системы имеют вид

Решая полученное уравнение для начальных условий Ро(0)=0 и Р1(f) = 1 (т.е. в начальный момент времени канал свободен), получаем

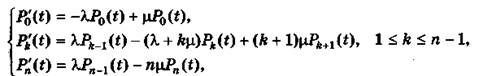
Каждый из n каналов может одновременно обслуживать только одно требование и все каналы функционируют независимо.
В систему поступает простейший (пуассоновский) поток требований с параметром λ. Время обслуживания каждого требования является случайной величиной, которая подчиняется экспоненциальному закону распределения с параметром μ.
Состояние такой системы описывается системой дифференциальных уравнений:

где Pi(t) — вероятность того, что в системе в момент времени t занято k каналов обслуживания.
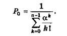
1. Вероятность того, что все обслуживающие каналы свободны:

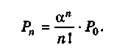
2. Вероятность того, что в системе находится k требований:

3. Вероятность того, что все обслуживающие каналы заняты:

4. Среднее число свободных от обслуживания каналов:

5. Коэффициент простоя каналов:

6. Среднее число занятых обслуживанием каналов:

7. Коэффициент загрузки каналов:

Для данного класса систем массового обслуживания решаются задачи выбора оптимального количества аппаратов, подбора параметров обслуживающего комплекса, расчета пропускной способности системы и др.
Экономическая оценка вариантов системы имеет вид:

где а — норма амортизации; с1 — цена канала обслуживания; с2 и с3 — текущие затраты на обслуживание работающего и простаивающего канала; с4 — потери производства от невыполнения одной работы (потери одного отказа), Т — годовой фонд рабочего времени системы.
Пример 1. Фирма имеет n=4 телефонных диспетчеров. Среднее число вызовов в течение часа составляет λ=96. Среднее время телефонного разговора То6 = 2 минуты. Определить степень загрузки диспетчеров и вероятность отказа в обслуживании.
Решение. Определим параметр системы

1. Вероятность того, что все диспетчеры свободны:

2. Вероятность того, что все диспетчеры заняты (вероятность отказа):

Люди также интересуются этой лекцией: 7. Индексация документов.
т. е. клиент не сможет дозвониться с первого раза в 30 случаях из 100.
3.Среднее число занятых диспетчеров:

4.Коэффициент загрузки каналов:

Следовательно, каждый диспетчер будет занят в среднем 0,62 рабочего дня.

























