Система с неограниченной длиной очереди
4. Система с неограниченной длиной очереди
Системы массового обслуживания с неограниченной длиной очереди предполагают ограниченное число каналов обслуживания в системе и неограниченную возможность для образования очереди требований, поступающих на обслуживание. Каждый канал может выполнять только одну работу. Если в момент поступления очередного требования все каналы заняты, то оно становится в очередь и ожидает начала обслуживания.
В систему поступает простейший (пуассоновский) поток требований с параметром λ. Время обслуживания каждого требования является случайной величиной, которая подчиняется экспоненциальному закону распределения с параметром μ.
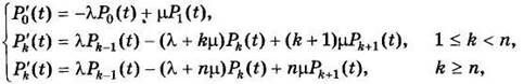
Состояние такой системы описывается системой дифференциальных уравнений:
|
|
где n — число каналов обслуживания в системе; Pk(t) — вероятность того, что в системе в момент времени t занято k каналов обслуживания.
1.Вероятность того, что все обслуживающие каналы свободны:

Рекомендуемые материалы
2. Вероятность того, что в системе находится k требований, в случае, когда их число не превосходит числа обслуживающих аппаратов:

3. Вероятность того, что в системе находится k требований, в случае, когда их число больше числа обслуживающих каналов:

4. Вероятность того, что все обслуживающие каналы заняты:

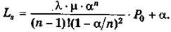
5. Среднее число требований в системе:

6. Среднее время пребывания в системе:

7. Средняя длина очереди:

8. Среднее время пребывания в очереди:

Вам также может быть полезна лекция "Принципы и функции public relations".
9. Среднее число свободных от обслуживания каналов:

Для данного класса систем массового обслуживания решаются задачи выбора оптимального числа аппаратов, определения размеров очереди и соответствующих складских площадей, расчета пропускной способности системы и др.
Экономическая оценка вариантов системы имеет вид:

где а — норма амортизации; с1 — цена канала обслуживания; с2 и с3 — текущие затраты на обслуживание работающего и простаивающего канала; с4 — затраты на содержание ожидающих требований в единицу времени; Т — годовой фонд рабочего времени системы.





















