Система с постоянным временем обслуживания
5. Система с постоянным временем обслуживания
Пример. Грузовики ожидают разгрузки на складе 15 мин. Простой грузовика в очереди обходится в 60 руб./ч. Покупка нового автопогрузчика позволит сократить процесс разгрузки до 5 мин (μ = 12 автомобилей в час). В среднем на складе пребывает λ = 8 автомобилей в час. Затраты на амортизацию нового погрузчика составляют 3 руб. на разгрузку. Оценить параметры системы.
Решение.
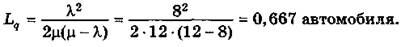
1. Средняя длина очереди:

2. Среднее время пребывания в очереди:
Рекомендуем посмотреть лекцию "Формы групповых дискуссий".

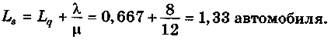
3. Среднее число требований в системе:

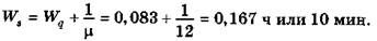
4. Среднее время пребывания в системе:

Без автопогрузчика затраты ожидания 0,25 ч • 60 руб./ч = 15 руб./рейс. С автопогрузчиком суммарные затраты (затраты ожидания и амортизация) 0,083 ч • 60 руб./ч + 3 руб./рейс = 8 руб./рейс. Следовательно, выгоднее поставить автопогрузчик.






















