Система с ограниченной длиной очереди
6. Система с ограниченной длиной очереди
Система состоит из n обслуживающих каналов. Каждый из них может одновременно обслуживать только одно требование. В систему поступает простейший (пуассоновский) поток требований с параметром λ. Если в момент поступления очередного требования все n каналов заняты, то это требование ставится на очередь, при условии, что в ней стоит меньше т требований, иначе — покидает систему. Другими словами, требование получает отказ, если в системе находится s = n + m требований. Время обслуживания каждого требования является случайной величиной, которая подчиняется экспоненциальному закону распределения с параметром μ.
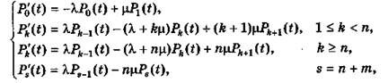
Состояние такой системы описывается системой дифференциальных уравнений:

где n — число каналов обслуживания в системе; Pk(t) — вероятность того, что в системе в момент времени t находится k требований.
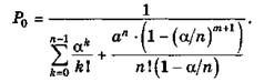
1. Вероятность того, что все обслуживающие каналы свободны:

2. Вероятность того, что в системе находится k требований, в случае, когда их число не превосходит числа обслуживающих аппаратов:
Рекомендуемые материалы

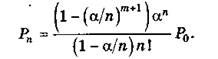
3. Вероятность того, что в системе находится k требований, в случае, когда их число больше числа обслуживающих каналов:

4. Вероятность того, что все обслуживающие каналы заняты:

5. Вероятность отказа:

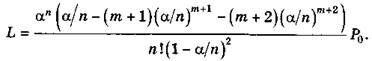
6. Средняя длина очереди:
6.3 Народные восстания - лекция, которая пользуется популярностью у тех, кто читал эту лекцию.

7. Среднее число свободных от обслуживания каналов:

Экономическая оценка вариантов системы имеет вид:

где а — норма амортизации; с1 — цена канала обслуживания; с2 и с3 — текущие затраты на обслуживание работающего и простаивающего канала; с4 — потери производства от невыполнения одной работы (потери одного заказа); с5—затраты на содержание ожидающих требований в единицу времени; Т — годовой фонд рабочего времени системы.




















