Система с ограниченным потоком требований
7. Система с ограниченным потоком требований
Система состоит из n обслуживающих каналов. Каждый из них может одновременно обслуживать только одно требование. В систему поступает простейший (пуассоновский) поток требований с параметром λ. Если в момент поступления очередного требования в системе на обслуживании уже находится не меньше n требований (все каналы заняты), то это требование ставится на очередь и ждет начала обслуживания. Требования на обслуживание поступают от m обслуживаемых объектов, т. е. поток поступающих требований ограничен. Время обслуживания каждого требования является случайной величиной, которая подчиняется экспоненциальному закону распределения с параметром μ.
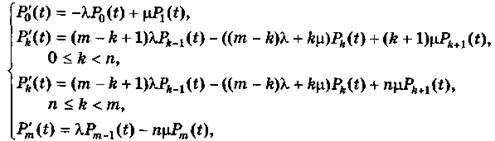
Состояние такой системы описывается системой дифференциальных уравнений:

где n — число каналов обслуживания в системе; Pk(t) — вероятность того, что в системе в момент времени t находится k требований.
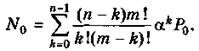
1.Вероятность того, что все обслуживающие каналы свободны:

2. Вероятность того, что в системе находится k требований, в случае, когда их число не превосходит числа обслуживающих аппаратов:
Рекомендуемые материалы

3. Вероятность того, что в системе находится k требований, в случае, когда их число больше числа обслуживающих каналов:

4. Вероятность того, что все обслуживающие каналы заняты:

5. Средняя длина очереди:

6. Среднее число требований, находящихся в системе:
"Миф как форма культуры" - тут тоже много полезного для Вас.

7. Среднее число свободных от обслуживания каналов:

Экономическая оценка вариантов системы имеет вид:

где а — норма амортизации; с1 — цена канала обслуживания; с2 и с3 — текущие затраты на обслуживание работающего и простаивающего канала; с4 — затраты на содержание требований, находящихся в системе, в единицу времени; Т — годовой фонд рабочего времени системы.























