Двухфазная система
8. Двухфазная система
Двухфазная система массового обслуживания с неограниченным потоком требований состоит из двух аппаратов разной производительности. В этой системе возможно образование очереди требований перед первой и второй фазами. Поступившее в систему требование сначала обслуживается на первом аппарате. Если он занят, то требование ставится в очередь. После первого аппарата требование переходит на второй аппарат, перед которым также может образовываться очередь.
Простейшие системы данного класса имеют показательный закон распределения времени обслуживания на аппаратах с параметрами μ1 и μ2 и пуассоновский поток поступающих требований с параметром λ.
Вероятностные оценки состояния системы следующие.
1.Вероятность того, что оба канала обслуживания свободны:

2.Вероятность того, что на первой фазе системы находится n требований, а вторая фаза свободна:

Рекомендуемые материалы
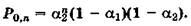
3. Вероятность того, что на второй фазе системы находится n требований, а первая фаза свободна:

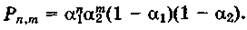
4. Вероятность того, что на первой фазе системы находится n требований, а на второй — m требований:

7 Сотрясение головного мозга - лекция, которая пользуется популярностью у тех, кто читал эту лекцию.
5. Среднее число требований, находящихся в системе:

Для данного класса систем массового обслуживания решаются задачи выбора оптимального числа аппаратов в фазах определения размеров очередей и соответствующих размеров складов, расчета пропускной способности системы и др.
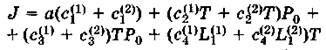
Экономическая оценка вариантов системы имеет вид:

где а — норма амортизации; с1(i) — цена i-ro канала обслуживания; c2(i) и с3(i) — текущие затраты на обслуживание работающего и простаивающего i-ro канала; c4(i)> — затраты на содержание ожидающих требований перед i-м каналом в единицу времени; Т — годовой фонд рабочего времени системы.























