Объекты третьего порядка
МЕТОДЫ ИСКУССТВЕННОГО ИНТЕЛЛЕКТА
ЛЕКЦИЯ № 4
ОБЪЕКТЫ ТРЕТЬЕГО ПОРЯДКА
На прошлой лекции мы:
— плотнее познакомились с теорией объектов,
— рассмотрели объекты 1-го порядка,
— рассмотрели объекты 2-го порядка: классов 2.1 и 2.2.
{Примеры объектов классов 1.1, 2.1 и 2.2}
Рекомендуемые материалы
Итак, с помощью объектов 2-го порядка мы можем изменять состояния различных объектов 1-го порядка. Но какой объект и как изменить, чтобы достичь цели — мы заранее не знаем. Это будет знать объект класса 3.1.
ОБЪЕКТЫ КЛАССА 3.1
В него мы введём дополнительный объект 1-го порядка, изменение состояния которого через универсальный интерфейс отражается на остальных объектах 1-го порядка. Введём также генератор случайности, дающий возможность случайно выбрать, какой объект 1-го порядка следует изменить наиболее сильно и в каком направлении. Но одних только случайных изменений недостаточно. Необходимо также устройство, которое запомнит удачный шаг, приблизивший нас к цели, либо позволит вернуться к предыдущему состоянию системы, если шаг окажется неудачным.
То есть алгоритм работы простейшего объекта 3-го порядка таков:

Как видим — вроде бы ничего сложного тут и нет. Обычный алгоритм с возвратом. Но не стоит забывать, что универсальный интерфейс не только даёт возможность управления объектами 1-го порядка за счёт изменения состояния одного объекта. Он таит в себе и угрозу — механизм обратной связи, по которой поступает информация о приближении к цели, а также блок движения, запоминающее устройство, различные периферийные блоки — они отнюдь не изолированы от остальной среды функционирования, а, напротив, тесно связаны с ней. Отсюда следует, что в результате существования универсального интерфейса есть опасность возникновения сбоев, появления новых и исчезновения старых свойств и прочих коллизий.
Кроме того, имеется опасность попадания в так называемые „потенциальные ямы“. Это может произойти, если между текущим положением объекта 3-го порядка есть область, в которой его состояние оценивается обратной связью как отдаление от цели. Попав в такую область, объект 3-го порядка совершит шаг назад — откат, в результате которого отдалится от цели. И если цель имеет вид замка с непрерывной стеной вокруг, то объект 3-го порядка попросту будет вокруг этой стены и никогда не сможет попасть в замок, т.е. достичь цели.
Избавиться от этой проблемы можно, только если использовать такой генератор сигналов, который будет обладать широким спектром случайных изменений, в результате которых объект 3-го порядка сможет производить не только близкие переходы — шаги, но и дальние — прыжки.
Графическая принципиальная схема объекта 3-го порядка такова:

Рис. 4.2. Принципиальное устройство объекта 3.1
Цель данного объекта состоит в создании во внешней среде объекта 2-го порядка
. Так как
дано изначально, то требуется лишь построить интерпретатор
и с его помощью менять состояние объекта
. Изначально мы знаем, что должен делать этот объект, то есть каким образом состояние
меняется в зависимости от состояния
. Но нам не известно, каким образом это сделать. Другими словами, мы не знаем, как должен быть устроен интерпретатор
и каким образом можно управлять объектом
. Поскольку знать, что собой представляет
и управлять им — не одно и то же.
Как „сказать“ объекту 3.1 про то, как мы представляем себе объект
? Нужно построить его описание. Поскольку это объект класса 2.2, то описать мы его можем также объектом класса не ниже 2.2. Таким объектом-эталоном в нашей схеме служит объект
. Кажется, что такое описание бессмысленно — ведь нам приходится самим строить объект 2-го порядка. Но на самом деле объект
хоть и равен по сложности объекту
, но физически он значительно меньше и построить его гораздо проще, так как он несёт лишь информационную нагрузку.
Естественно, что нам нужен механизм обратной связи. Уже с самого начала нам надо иметь возможность наблюдать за тем, как эволюционирует объект
. Поэтому объект
класса 2.2 также должен быть построен создателями объекта 3.1.
Мы обозначили выход интерпретатора
за
, а выход
— за
. Если объект
придёт в нужное нам состояние, то
. Таким образом, чем меньше состояние объекта
отличается от нулевого, тем ближе мы к цели.
служит своего рода индикатором прогресса.
— „модуль 1“, или базовый модуль. Один — потому что потом будут ещё модули 2 и 3. Базовый — потому что остальные модули строятся на его основе и постоянно используют его в своей работе. Это центральное звено простейшего объекта 3-го порядка, включающее в себя, как видно из схемы, блок движения, блок работы с обратной связью, блок реализации возврата, запоминающее устройство и рабочий орган — объект 1-го порядка
.
Объекты 1-го порядка
и
запоминают, соответственно, состояния объектов
и
предыдущего шага. В объекте
запоминается текущее состояние
. Это необходимо потому, что на
, кроме объекта 3.1, через универсальный интерфейс воздействуют и все остальные объекты внешнего мира. Конечно, они воздействуют и на все остальные части объекта 3.1, но не нужно забывать, что
должен быть сильно связан с внешним миром, чтобы эффективно на него воздействовать, в то время как остальные части объекта 3.1 связаны с ним слабо. Из-за этого состояния
, каким мы его себе представляем и какое оно на самом деле, сильно различаются. Поэтому перед тем, как изменить
,
записывает его планируемое состояние в
.
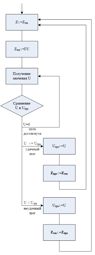
Приведём упрощённый алгоритм работы объекта 3.1:

Рис. 4.3. Упрощённый алгоритм работы объекта 3.1
Сложность в том, что составляющие модуля 1 — ГС,
,
,
имеют очень большое число состояний. Поэтому наше представление о них — их формальная модель — может описывать далеко не все свойства. Следовательно, и создавая объекты 2-го порядка для работы с ними, мы сможем учесть только те свойства, что отражены в формальной модели. Однако если формальные модели обладают достаточно высоким уровнем, т.е. допускают довольно большое число состояний, то с их неполнотой можно мириться, поскольку присутствие универсального интерфейса между
и внешним миром в принципе позволяет достичь цели даже в таких условиях.
Например, руки человека могут производить только механическое макровоздействие. Но, тем не менее, вся окружающая нас техническая среда с её разнообразнейшими устройствами, работающими и с электромагнитными полями, и с нанообъектами — в конечном счёте была создана именно руками. Этот пример с руками хоть и грубый, но зато наглядно демонстрирует, что, зная даже небольшую долю реального устройства ГС,
,
,
, можно в принципе достичь цели.
Замечу, что приведённый алгоритм работы объекта класса 3.1 не является алгоритмом описания пути к цели. Это описание последовательности срабатывания различных блоков объекта. И оно остаётся неизменным при любой цели.
Ну, например. Представим себе автомобиль-амфибию высокой проходимости с мегагенератором, дающем ему неограниченный запас хода. На автомобиле установлен компас. Мы помещаем автомобиль в любую точку поверхности земли, включаем двигатель и задаём цель: достичь Северного полюса. Алгоритм движения крайне прост: встретив непреодолимую преграду, ну крутой подъём, например, автомобиль отъезжает немного назад и пытается её объехать, стараясь выдерживать при этом основной курс на север неизменным.
Цель — достичь Северного полюса. Обратная связь — компас. Объект
— колёса и гребной винт. Упрощённый аналог универсального интерфейса здесь — то, что при помощи колёс и вплавь можно достичь практически любой точки земного шара. Генератором случайности вполне может стать какой-нибудь псевдослучайный физический процесс, например, шум транзистора.
Теперь вернёмся к алгоритму работы. Естественно, что само устройство автомобиля, взаимодействие его узлов и деталей, можно описать алгоритмом. Но вот траекторию его движения — нет, потому что она определяется не только командами на руль, газ и тормоз, но и рельефом местности, магнитным полем Земли и множеством других факторов. А ведь достижение цели достигается как раз выбором траектории!
Дав задание ехать на Южный полюс, мы тем самым полностью изменим траекторию, не меняя в конструкции автомобиля ничего, кроме цели. И вот в приведённом алгоритме и описывается как раз та самая конструкция автомобиля, а совсем не алгоритм построения траектории его движения.
Следует отметить одну важную особенность объекта класса 3.1 — отсутствие в нём эволюционного процесса.
Эволюционный процесс — это такой процесс, при котором происходит не только изменение объекта
, но и самого объекта 3-го порядка. То есть объект сам не изменяется для более эффективного движения цели.
Примеры объектов класса 3.1. Практически все одноклеточные живые организмы, а также отдельные клетки многоклеточных организмов являются объектами 3.1. У них нет эволюционного процесса, например, сине-зелёные водоросли не изменились со времён архейской эры. Все те изменения, которые мы наблюдаем, относятся к объекту
.
Мы уже говорили о том, что знания можно получить тремя способами: случайным перебором, по аналогии и путём логического вывода. Объект 3.1 реализует какой путь? первый путь.
ОБЪЕКТЫ КЛАССА 3.2
Объект 3.2 получает знания вторым способом — по аналогии. Это означает, что он отслеживает и запоминает явления, происходящие во внешнем мире, а затем использует эту информацию для достижения цели.
Объект 3.2 построен на основе объекта 3.1 путём добавления памяти и средств её управления. В нём возникает множество рецепторов — устройств сбора информации о внешнем мире. На выходе у устройства сбора информации находится матрица рецепторов. И точно так же вместо одного объекта 1-го порядка
в 3.2 применяются несколько физически элементарных объектов 1-го порядка — эффекторов, которые образуют эффекторную матрицу.
Ещё один компонент, необходимый для работы механизма запоминания — это величина
. По её значению можно определить удачность сделанного шага: удачный шаг будет обладать
, неудачный —
, а нейтральный —
. Чем больше
, тем удачней шаг. Соответственно, для каждого
-го блока памяти (а их много) получаем
.
Итак, что у нас есть: блоки памяти с образами рецепторно-эффекторных матриц и
, текущее состояние рецепторов и эффекторов. Записанные в памяти шаги уже привели к уменьшению
— приблизили нас к цели. Теперь, если текущее состояние матрицы рецепторов похоже на состояние, записанное в
-ом блоке, то для уменьшения
можно просто привести эффекторную матрицу в записанное в этом блоке состояние, а не искать его случайным способом, как это делалось в 3.1.
Но при этом объект 3.2 должен стремиться к цели, и если в памяти нет шагов, при которых она была достигнута, то простое копирование из памяти в эффекторы не приведёт нас к цели. Поэтому, помимо копирования, должен быть и процесс случайного поиска, позволяющий создавать новые состояния эффекторной матрицы. Для этого перед каждым копированием из памяти в копируемый образ вносятся небольшие случайные изменения.
Таким образом, объект класса 3.2 использует весь предыдущий опыт своего существования и способен выискивать аналогию в текущих ситуациях, если они хотя бы чем-то напоминают уже пережитое. Всё это позволяет достигать цели гораздо эффективнее, чем объект 3.1. Обратите внимание, что процесс мышления при этом отсутствует — новые знания объект 3.2 не выводит.
А вот если в памяти объекта 3.2 нет матриц, похожих на возникшую ситуацию, то возросшая сложность 3.2 по сравнению с 3.1 теряет всякий смысл. Скорее всего, это зависит не от самого объекта 3.2, а от среды функционирования. Всегда должно выполняться условие: похожие по виду явления должны вызываться похожими причинами. То есть должны иметь место однозначные зависимости „похожие явления — похожие причины“. Совокупность таких зависимостей, которые являются объектами 2-го порядка, где явления и вызывающие их причины различаются незначительными деталями, мы будем называть логическим доменом.
Давайте вспомним любимого Винни-Пуха. Напомню одно из его рассуждений: «Это ж-ж-ж неспроста. Само дерево жужжать не может? Значит, кто-то тут жужжит! А зачем тебе жужжать, если ты не пчела? А зачем на свете пчёлы? Для того чтоб делать мёд! А зачем на свете мёд? Для того чтобы я его ел!»
Какой тут логический домен будет? Жужжит — пчела — мёд — еда.
Именно существование в среде функционирования логических доменов и позволяет строить объекты класса 3.2. Вы, возможно, заметили, что логические домены вступают в некоторое противоречие с универсальным интерфейсом, так как в идеале изменяющиеся объекты 1-го порядка одного логического домена не должны влиять на другие объекты 1-го порядка в другом логическом домене. Разрешить этот конфликт можно компромиссно: объекты разных доменов хоть и влияют друг на друга, но очень слабо. И по сравнению с внутридоменным взаимовлиянием им можно пренебречь.
Логические домены реально существуют в нашем мире: рассматривая, к примеру, атомы и молекулы как объекты класса 1.1, мы можем принять небольшие твёрдые тела, состоящие из них, за логические домены. Внутри этих тел атомы и молекулы взаимодействуют достаточно сильно: это и температура тела, и его заряд… в то время как молекулы и атомы разных тел практически не влияют друг на друга.
Ещё одним примером логических доменов могут служить различные закономерности, наблюдаемые в природе: например, связанные друг с другом циклические процессы — смена времён года и вызванные ей изменения в живой природе.
Искусственно созданные объекты 2-го порядка — строения, транспортные средства, телекоммуникации — тоже являются логическими доменами. При этом составляющие их детали играют роль взаимосвязанных объектов 1-го порядка.
Другими словами, любой сложный объект, воспринимаемый нами как единое целое, может считаться логическим доменом. Например, автомобиль состоит из множества узлов и деталей: двигатель, кузов, колёса, рама, кабина и т.д. Каждый такой узел — логический домен, поскольку, скажем, двигатель можно отсоединить, и он будет работать точно так же (на стенде или другом автомобиле). В этом проявляется свойство независимости объектов, строящих логический домен, от объектов другого логического домена. Но, тем не менее, они остаются связанными универсальным интерфейсом. Двигатель испытывает гравитационное, электромагнитное взаимодействие со всеми остальными объектами Вселенной. В свою очередь и двигатель также состоит из логических доменов: поршней, цилиндров, валов и др. Очевидно, что и автомобиль, и двигатель — объекты 2-го порядка. Мы лишь упрощённо их, когда нужно, называем объектами 1-го порядка.
Как я уже сказал, объектами 3.1 в живой природе являются простейшие одноклеточные организмы. Объекты класса 3.2 представлены в природе тоже широко: это многоклеточные организмы и практически все животные.
Животных вообще можно рассматривать как классический пример объекта класса 3.2. В различных их видах представлены варианты 3.2. Способность животных залечивать и даже полностью восстанавливать повреждённые органы сложной структуры говорит о наличии у них полуактивной защиты. Это происходит у медуз, и червей. На наличие этого механизма указывает также и на существование эволюционного процесса.
Защита может быть и полная — когда зверушка может предвидеть опасность и избежать её. Рыбы, птицы, бобры — почти все высшие животные.
Следует заметить, что эффекторы и рецепторы животных вовсе не ограничиваются лапами, ногами и руками. В составе эффекторной матрицы присутствует всё то, что поддаётся управлению и способно оказывать воздействие на организм и окружающие его предметы. А этот список весьма широк: эндокринная, нервная системы, механизмы внутренней регуляции жизнедеятельности отдельных клеток. Одним словом, в эффекторной матрице задействован практически весь организм. Аналогично дело обстоит и с рецепторной матрицей.
Высшие животные способны к запоминанию когда-то пережитых ощущений и способов действия в этих ситуациях. Они обладают условными рефлексами. Эту способность даёт им наличие стековой памяти. Все помнят, что такое стековая память? FIFO-LIFO? Стековая память также объясняет и тот факт, что по истечении времени знания забываются, и то, что опыт одних животных нельзя передать другим. Каждое животное нужно дрессировать индивидуально. И всё это справедливо для большинства представителей мира природы.
Однако науке известны некоторые животные, способные к передаче своего жизненного опыта потомству и оказанию взаимопомощи друг другу, животные, проявляющие зачатки мышления. Это в частности, касатки, слоны, человекоподобные обезьяны и некоторые другие. Известно, например, что некоторые птицы бросаются на нарисованные изображения природных врагов или добычи. А вот шимпанзе никогда не станет атаковать рисованный муляж, даже если и видит его впервые. В случае с птицами всё понятно — их мозг воспринимает только внешний образ наблюдаемого предмета. И если он находит ассоциацию в памяти, то вызываются соответствующие реакции. Мозг же обезьяны устроен по-другому: он видит мир не как набор ассоциаций, а как набор объектов 2-го порядка и поэтому легко отличает настоящего врага от нарисованного. Эти и другие характерные черты поведения высших животных не объяснить с позиций объекта 3.2. Они — объекты класса 3.3, к которому относится и человек.
Ещё один момент, прежде чем пойти дальше. Что фундаментально нового содержат объекты 3-го порядка по сравнению с объектами 2-го порядка? Напомню, что фундаментальные свойства объекта
-го порядка — это такие свойства, которые невозможно представить в виде произвольной комбинации свойств объекта порядка
. Однако мы таких свойств не видим — любой блок объекта 3-го порядка представляет собой объект с порядком не выше 2-го. Это противоречие раскрывается просто — нужно, рассматривая объект 3-го порядка, принимать во внимание не только составляющие объекта, но и всю среду его функционирования! Т.е. на самом деле объект 3-го порядка — это как бы и есть среда функционирования, в которой создана определённым образом построенная область. Казалось бы, вывод парадоксален, но на самом деле так и должно быть.
Например, объекты 1-го порядка
и
из объекта 2-го порядка
— такие же неотъемлемые его атрибуты, как и интерпретатор
. Рассмотрение
,
или
поодиночке просто не имеет смысла. Аналогично и в случае объекта 3-го порядка мы имеем схему
, где
— входящий объект 2-го порядка (цель),
— исходящий объект 2-го порядка (целевой объект), а в
входят объекты 1-го и 2-го порядков, составляющие схему объекта 3-го порядка, а также свойство внешнего мира —универсальный интерфейс, использование которого и даёт возможность строить объекты 3-го порядка.
ОБЪЕКТЫ КЛАССА 3.3
Для чего нужен переход от объектов классов 3.1 и 3.2? Что нас в них не устраивает?
В этих объектах движение к цели осуществляется в основном при помощи случайного перебора различных вариантов. Память, присутствующая в объекте 3.2 лишь усиливает эффективность этого процесса. Поэтому в этих объектах многое зависит от воли случая: удастся или не удастся подобрать состояние эффекторов, приближающее нас к цели. В небольших системах процесс такого перебора сходится к достижению цели достаточно быстро. Однако чем больше система, тем труднее и труднее достигать цели указанным образом. Удачные сочетания состояния эффекторов становятся всё реже, а неудачные, наоборот, — чаще. Кроме случайности существует ещё один вредный фактор — ограниченность рецепторно-эффекторных матриц. Суть его сводится к тому, что текущего набора рецепторов и эффекторов недостаточно для успешного движения к цели.
В крупных системах в результате ограниченности рецепторно-эффекторных матриц объект 3.2 не видит большинства логических доменов внешнего мира и потому не может построить причинно-следственные связи. Это резко снижает его эффективность.
В рамках объектов 3.1 и 3.2 также невозможно преодолеть потенциальные барьеры. Тот же замок с непрерывной стеной вокруг.
Вновь вспомним о трёх путях получения знаний: случайным перебором, из внешнего мира в явной форме и из внешнего мира в неявной форме.
Что значит в явной или неявной форме? Знание — это объект 2-го порядка, служащий однозначным отображением процесса, протекающего во внешнем мире. Объект класса 3.2 использует эти знания в явной форме — его память однозначно отображает логические домены внешнего мира. Но при увеличении размеров внешнего мира число явных знаний о нём будет уменьшаться. При бесконечно большом внешнем мире оно будет стремиться к нулю. Но это не говорит о том, что мы ничего не знаем о внешнем мире — мы просто не имеем достаточного количества именно явных зависимостей типа „причина — следствие“. Косвенные же знания, т.е. знания вида „(причина + сопутствующие факторы) — явление“ у нас имеются. Остаётся только извлечь из них явные знания.
Для этого внутри объекта 3-го порядка создаётся некий аналог внешнего мира — его действующая модель, внутренний мир. Причём это должна быть очень правдоподобная модель — практически эквивалент внешнего мира. Как и внешний мир, он состоит из большого числа объектов класса 2.2 и обладает теми же свойствами, а именно: имеет свои внутренние логические домены и универсальный интерфейс. Мало того, внутри внутреннего мира имеются двойники самого объекта 3-го порядка — как он самого себя представляет через показания матрицы рецепторов. В результате чего у него появляется важнейшее свойство — в принципе внутри этого внутреннего мира можно промоделировать абсолютно все процессы и явления, протекающие в настоящем, внешнем мире. Но он имеет и два принципиальных отличия от внешнего мира:
1) возможность отката — любое действие, совершённое с внутренним миром всегда можно отменить;
2) возможность работы с любым объектом внутреннего мира, включая и те аналоги объектов внешнего мира, с которыми во внешнем мире нельзя непосредственно связаться при помощи рецепторно-эффекторных матриц.
В этом и состоит суть объекта 3.3 — имея внутренний мир и экспериментируя с ним, он выявляет наиболее перспективные направления достижения цели, включая преодоление потенциальных барьеров, и уже только после этого применяет их во внешнем мире. Такой подход позволяет резко повысить эффективность достижения цели в крупных системах.
Объект 3.3, помимо универсального интерфейса и логических доменов, требует для своего существования бесконечно большой среды функционирования — бесконечного внешнего мира. В бесконечном внешнем мире возникают бесконечные логические домены, содержащие бесконечное количество физически элементарных объектов 2-го порядка.
Особого интереса эти бесконечные логические домены не представляли бы, если бы не одно их очень важное для создания искусственного интеллекта свойство, выражающееся в Центральной теореме.
Центральная теорема.
В бесконечном логическом домене можно управлять любым глобальным параметром: создавать его по подобию уже существующего в другом бесконечном логическом домене, изменять его свойства или удалять.
Иначе говоря, в рамках глобальных параметров бесконечных логических доменов делаются реальными все пути создания объектов 2-го порядка.
В общем, суть в том, что, беря кусочки существующих бесконечных логических доменов, мы можем создать новый бесконечный логический домен, который приведёт нас к цели.
Рассмотрим как целевой логический домен строительную балку. Важнейший её глобальный параметр — жёсткость — может быть получен различными путями: изготовлением из какого-либо прочного материала, приданием соответствующей формы (цилиндр, параллелепипед), подбором температурного режима, помещением в сильное магнитное поле и т.д. В результате мы имеем возможность выбора из нескольких комбинаций лучшего варианта относительно затрат, причём число таких вариантов сравнительной невелико, и каждый из них гарантированно ведёт к достижению цели.
Процесс построения логических доменов мы наблюдаем на примере нашей цивилизации — она не создаёт ничего нового на атомарном уровне. Все машины и механизмы созданы путём преобразования из существующих массивов вещества и энергии.
Цель. А какая у объекта 3.3 цель? Она необычна — она охватывает как минимум один бесконечный логический домен внешнего мира. То есть, цель объекта класса 3.3 — описание глобальных характеристик как минимум одного бесконечного логического домена. Достижение цели означает то, что глобальные параметры реального домена будут отличаться от заданных на величину, меньшую некоторой заранее заданной погрешности.
Глобальные характеристики домена являются обобщёнными характеристиками составляющих его объектов. Если рассматривать воду в стакане как логический домен, то глобальным параметром будет, например, температура.
Однако лишь в простейших частных случаях цель охватывает один логический домен. В реальности же она практически всегда представляет собой описание всего внешнего мира, каким его хотели бы видеть создатели объекта 3.3.
ОБЗОР ОБЪЕКТОВ 3-ГО ПОРЯДКА
Проводя общее сравнение 3.3 с 3.1 и 3.2 выясняется, что применение 3.3 далеко не всегда выгоднее 3.2. Объект класса 3.3 подобен тяжёлой артиллерии, бьющей далеко и обладающей большой мощью, но почти беспомощной перед близкими небольшими целями.
То же самое можно сказать и в адрес сравнения 3.2 с 3.1. Отсюда следует, что при постройке 3.3 не следует недооценивать роли 3.2 и 3.1, а, напротив, следует создавать их достаточно развитыми.
Хороший пример объекта класса 3.3 — человек.
Он, как и 3.3, строится подобным пирамиде
. Клетки тела — объекты 3.1, спинной мозг и частично головной, которые управляют повторяющимися операциями (дыханием, движением, условными и безусловными рефлексами) — 3.2. И наконец мозг — объект класса 3.3.
Человек манипулирует в своей голове образами внешнего мира и ассоциациями, построенными на их основе. Обладает отвлечённым мышлением. А также видит сны, в то время как его внешние рецепторы и эффекторы в основном неактивны. Это говорит о существовании у него внутреннего мира. Так как усваивание новых знаний идёт медленно, а затем человеку становится всё понятно, то можно сделать вывод о том, что во время усвоения идёт постройка объекта 2.2 — знания. Затем, когда объект 2.2 уже создан, наступает понимание сути предмета. По той же причине зубрёжка, основанная на запоминании внешнего образа предмета, а не принципа его работы, не даёт в плане обучения почти никакого положительного эффекта.
За счёт изначального существования во внутреннем мире общей схемы построения внешнего мира человек „видит“ то, что невозможно получить со стороны эффекторов. В частности, это касается развития детей — в первые годы жизни они используют уже более 80 % информации, получаемой ими за всю жизнь (в смысле той, которая вообще хранится в мозге, а не той части, касающейся умения читать, писать, считать…). Именно поэтому так стремителен прогресс ребёнка — его обучение — это не обучение в привычном смысле, а запуск как бы спящих объектов 2.2 его мозга. Настоящее обучение идёт сравнительно долго, что и проявляется в полной мере у людей более старшего возраста.
Люди также интересуются этой лекцией: Заключительная часть.
Ну и в заключение ещё одна довольно интересная деталь, которая придаёт теории объектов, я бы сказал, некий блеск, но и, надо сказать, настораживает. Если обратили внимание, у объекта 1-го порядка только один тип — 1.1. У объекта второго порядка — 2 типа — 2.1 и 2.2. Причём 2.1 имеет одну разновидность, а 2.2 — две (там… определённая и неопределённая разновидности). У объекта 3-го порядка — три типа: 3.1, 3.2 и 3.3. При этом 3.1 имеет одну разновидность, а 3.2 — две (с простой и со стековой памятью). По аналогии у 3.3 должно быть три разновидности. Так оно и есть на самом деле.
Простейшая разновидность 3.3.1 работает с реальными образами внешнего мира. По теории этого достаточно для решения открытых задач и получения знаний. Зачем тогда потребовались ещё две модификации и что они дают?
Там дело в моделировании, в объектах 3.3.2 и 3.3.3 появляется область альтернативного мира, которая, согласно теории объектов взаимодействует с объектом 4-го порядка — Вселенной.
В общем, дальше уже чистой воды религия, поскольку толком доказательств нет. Всё же я посоветую с этим ознакомиться самостоятельно — так, для общего развития. По крайней мере, занимательно. На многие вопросы даёт ответ.
На этом мы с теорией объектов закончим. А на следующей лекции закончим с интегральной теорией создания искусственного интеллекта и перейдём к земным заботам — работе с интеллектом 1-го уровня.






















