Нелинейные законы регулирования
1.2. НЕЛИНЕЙНЫЕ ЗАКОНЫ РЕГУЛИРОВАНИЯ
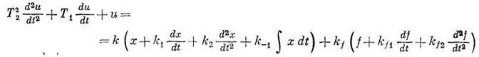
Автоматический регулятор в системе регулирования состоит, как уже известно, из трех основных частей: измерительной, усилительно-преобразовательной и исполнительной. В усилительно-преобразовательной части имеются корректирующие устройства, в которых, помимо сигнала отклонения х регулируемой величины, образуется сигнал по первой производной dx/dt (может быть также и по второй производной и по интегралу от отклонения
), вводятся дополнительные обратные связи и т.п. Все это служит для улучшения устойчивости, точности и качества процесса регулирования и будет подробно изучено в дальнейшем.
Закон, по которому формируется регулирующее воздействие и на объект (рис. В.4) из первичных сигналов х,
и т. п., называется законом регулирования. Иначе говоря, закон регулирования есть алгоритм формирования целесообразного сигнала управления и на основании первичной информации х,
и т.п.

Рис. В.4.
В комбинированных системах регулирования, кроме того, добавляется первичная информация по возмущению f(t), а иногда и по задающему воздействию g(t). Математически закон регулирования определяется уравнением автоматического регулятора. Различают линейные и нелинейные законы регулирования.
Кроме упоминавшихся выше корректирующих устройств, регулятор (система управления) может содержать различные фильтры (линейные или нелинейные) для борьбы с различного рода помехами. В усилительно-преобразовательном устройстве часто производятся также преобразования одних физических величин в другие (одного рода тока в другой, электрических величин в механические и т.п.) для удобства формирования закона регулирования в маломощных цепях регулятора, а также в интересах работы достаточно мощных исполнительных устройств.
Линейные законы регулирования определяются линейным уравнением регулятора, например, вида
Рекомендуемые материалы

(последняя скобка относится только к комбинированным системам). Для линейных законов регулирования детально разработаны многочисленные прикладные методы исследования (анализа и синтеза), различные расчетные и экспериментальные приемы определения устойчивости, точности и качества процесса регулирования, а также схемы конкретных технических устройств формирования линейных законов регулирования. Все это касается и линейных систем с переменными параметрами и импульсных и цифровых (хотя они пока еще менее полно изучены).
Что же касается нелинейных законов регулирования, то (за исключением релейного) они изучены мало. Очевидно, однако, что использование нелинейных законов регулирования, определяемых разнообразными нелинейными уравнениями регулятора значительно расширяет возможности целесообразного изменения качества процессов регулирования и точности.

Это ясно из общих принципиальных соображений, так как область нелинейных уравнений значительно богаче и разнообразнее, чем линейных.
Несмотря на то, что общей теории нелинейных законов регулирования нет, исследования и опыт применения отдельных частных видов этих законов говорят об их большой практической эффективности. Отсюда следует актуальность их теоретического изучения.
Введем следующую классификацию нелинейных законов регулирования:
1) функциональные нелинейные законы регулирования,
2) логические нелинейные законы регулирования,
3) оптимизирующие нелинейные законы регулирования,
4) параметрические нелинейные законы регулирования.
Важным отличием нелинейных законов от линейных является то, что они придают системе регулирования принципиально новые свойства. Если при линейном законе всегда вырабатывается сигнал, пропорциональный входной переменной или ее производной и т.д., то при нелинейном законе может существенно изменяться сам характер действия системы управления на объект в зависимости от величины входного воздействия. Другими словами, если для линейных систем изменение размера отклонения — это изменение только масштаба, но не формы процессов, то в нелинейной системе при этом может существенно изменяться и форма процессов, вплоть до принципиальных качественных изменений картины процессов. Эти особые свойства нелинейных законов можно выгодно использовать в технике автоматического управления и регулирования.
Рассмотрим отдельно каждый из указанных четырех классов нелинейных законов регулирования.
Функциональные нелинейные законы регулирования.
Функциональными будем называть такие нелинейные законы регулирования, при которых регулирующее воздействие на объект выражается в виде нелинейной функции от отклонения регулируемой величины, представляющей собой входную информацию для системы регулирования.
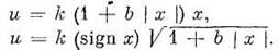
Данный класс может содержать в себе как статические, так и динамические нелинейности. Примеры статических нелинейностей в законе регулирования:

В отличие от линейного закона, здесь в первом случае будет более энергичное действие регулятора при больших отклонениях х и большой запас устойчивости установившегося режима. Во втором случае будет менее энергичное, но более плавное действие регулятора вначале и повышенная точность в установившемся режиме, хотя и с меньшим запасом устойчивости. Однако такого рода рекомендации, как увидим в дальнейшем, справедливы для большинства систем, но все же не для всех. Поэтому они требуют специального обследования для каждого объекта регулирования.
Нелинейный закон регулирования за счет дополнительных нелинейных обратных связей может включать в себя также нелинейности от выходной величины и:

что расширяет возможности целесообразного изменения качества процесса регулирования.
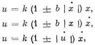
Примеры динамических нелинейностей в законе регулирования:

где вместо двойного знака подразумевается какой-либо один из них.
Подобные динамические члены нелинейного закона регулирования различно влияют на демпфирующие свойства системы регулирования в переходных процессах в зависимости от размеров и скорости отклонения. Они же могут существенно улучшать динамическую точность (т.е. уменьшать динамические ошибки) системы в различных режимах вынужденного движения, воспроизведения различных форм задаваемых входных сигналов, а также при случайных воздействиях.
Отметим, что функциональные нелинейные законы регулирования могут быть связаны не только с изменением параметров в зависимости от размеров входных воздействии, но и с изменением структуры. Например, при увеличении отклонения регулируемой величины сверх определенного порога |х| = с в системе может происходить переключение с одного линейного корректирующего устройства на другое.
Логические нелинейные законы регулирования. Нелинейные законы регулирования могут иметь иные формы, которые реализуются с помощью не функциональных, а более или менее сложных логических устройств. Будем называть их логическими нелинейными законами регулирования.

Рис. В.5.
Например, в системе на рис. В.5 логический нелинейный закон регулирования может быть применен для экономии управляющих воздействий со стороны регулятора па объект (а также экономии расхода энергии на нужды регулирования). Построение простейшего логического нелинейного закона регулирования лучше всего пояснить на плоскости двух входных величин u4, u2 (рис. В.6).

Рис. В.6.
Последние с точностью до характеристик неидеальности измерителей соответствуют отклонению х и скорости отклонения
регулируемой величины (рис. В.5).
Предварительно заметим, что если знак скорости
совпадает со знаком отклонения х, то величина отклонения х по модулю возрастает. В этом случае требуется энергичное действие регулятора для его ликвидации. Если же знак скорости
противоположен знаку отклонения х, то величина |х| уменьшается. В этом случае можно вовсе не подавать на объект управляющего воздействия, если скорость
— достаточна для необходимой быстроты ликвидации отклонения, или же подавать воздействие при очень малой скорости
. Эти рассуждения позволяют считать целесообразным, например, применение следующего логического закона регулирования.
Управляющее воздействие (и3 = +1 или us = -1) включается только тогда, когда |u1| > u1* (см. рис. В.6), т.е., когда отклонение достаточно велико и и2 имеет знак, одинаковый со знаком и1 или противоположный, но при малом |u2| < u2*. Во всех остальных случаях управление выключено (и3 = 0), так как при противоположных знаках u2 и u1 и достаточной величине |u2| > u2* система сама, без управления возвращается к требуемому положению х = 0 (если при этом гарантирована противоположность знаков
и х).
Если Вам понравилась эта лекция, то понравится и эта - 71. Аттестация рабочих мест по условиям труда.
Логические нелинейные законы регулирования могут быть связаны также с изменением структуры системы регулирования. Например, при помощи логического устройства можно включать и выключать сигналы управления по первой и второй производным и по интегралу, в зависимости от сочетания значений отклонения регулируемой величины х и скорости отклонения ее
. Если правильно сформировать логику этих переключений, то можно существенно повысить качество работы системы регулирования.
Вместо комбинирования указанных линейных членов закона регулирования могут вводиться также и функциональные нелинейные члены; включение и выключение сигналов, соответствующих этим членам, производится при помощи логического устройства. Тогда получится комбинация функциональных и логических нелинейных законов регулирования.
Оптимизирующие нелинейные законы регулирования. В настоящее время интенсивно развивается теория оптимальных процессов регулирования. При этом на основе классических вариационных методов, или на основе так называемого принципа максимума, или методом динамического программирования определяется закон регулирования таким образом, чтобы система имела максимум быстродействия, или минимум ошибки, или же минимум какой-нибудь другой величины (в форме функционала) с учетом ограничений, накладываемых в реальной системе на координаты, скорости, силы и т.п.
Как правило, при этом приходят к нелинейным законам регулирования, хотя, вообще говоря, можно оптимизировать и коэффициенты линейного закона, задав его форму. Часто оптимальный нелинейный закон регулирования состоит в переключении управляющего воздействия (при определенных состояниях системы) с одного максимально возможного значения на другое (противоположного знака). Моменты переключения в целом определяются сложными комбинациями значений нескольких переменных и их производных.
Параметрические нелинейные законы регулирования. В предыдущих типах законов регулирования вводились отклонения регулируемой величины от некоторых заданных ее программных значений. При параметрической программе управления закон регулирования может выражаться в виде нелинейной функции текущих координат, в которых задается параметрическая программа.
Нелинейные законы регулирования обладают богатыми возможностями во всех случаях, когда требуемый эффект может быть достигнут изменением свойств системы с изменением величин ошибок. Важным классом нелинейных систем являются системы с переменной структурой. Большими возможностями обладают так называемые адаптивные, т.е. самонастраивающиеся и самоорганизующиеся, системы, описанию которых посвящаются нижеследующие параграфы.





















