Лекция 18 - Анализ вынужденных процессов
Лекция № 18
Тема:
Анализ вынужденных процессов в импульсных системах.
План лекции:
1. Вынужденные процессы при степенных входных воздействиях.
2. Установившиеся ошибки при типовых входных сигналах.
3. Коэффициенты ошибок дискретной системы.
1. Вынужденные процессы при степенных входных воздействиях.
Рассмотрим вынужденные процессы, возникающие в дискретных системах при степенных воздействиях и оценим точность воспроизведения входного сигнала.
Пусть входной сигнал является постоянным, т.е.
.Тогда
и из зависимости (93) следует
.
В соответствии с формулой (94)
Рекомендуемые материалы
,
т.е. вынужденный процесс при постоянном входном воздействии также является постоянной величиной. Пусть
,
т.е. входной сигнал изменяется по линейному закону. Тогда

Из выражения (93) получим
,
где
,
т.е. вынужденный процесс при линейном входном воздействии является также сигналом, изменяющимся по линейному закону, параметры которого определяются коэффициентами передаточной функции системы.
Продолжая рассмотрение, можно прийти к следующему результату: вынужденный процесс при степенном воздействии является полиномом, той же степени, что и входной сигнал. Коэффициенты этого полинома определяются коэффициентами входного воздействия и параметрами передаточной функции системы.
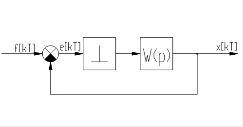
Оценим точность воспроизведения степенного входного сигнала замкнутой импульсной системой. Структурная схема системы представлена на рис.40. Входное воздействие имеет вид
![]() |
(98) Рис.40
2. Установившиеся ошибки при типовых входных сигналах.
Найдем установившуюся ошибку системы
. Из теории непрерывных САУ известно, что величина установившейся ошибки определяется соотношением степени полинома входного воздействия с порядком астатизма разомкнутой системы. Аналогичное положение сохраняется и для дискретных систем. Из п.2.3 следует, что полюсу p=0 передаточной функции ПНЧ соответствует полюс z=1 Z-передаточной функции W(z) , причем порядки этих полюсов (степени астатизма) совпадают (см. зависимость (24)). Тогда Z-передаточная функция W(z) дискретной системы, приведенная непрерывная часть которой обладает астатизмом порядка
, может быть записана в виде

где
- дробно-рациональная функция, причем z=1 не входит в число ее нулей или полюсов.
Определим передаточную функцию ошибки замкнутой импульсной системы:

или

где
.
Установившееся значение сигнала ошибки найдем по теореме о предельном значении решетчатой функции:
.
где
.
Из формулы (98) и таблиц z-преобразования получим
,
где P(z) - полином степени
, причем
.
Тогда зависимость для установившейся ошибки принимает вид
(99)
Из анализа формула (99) видно, что могут представиться три случая:
- порядок астатизма меньше степени полинома входного воздействия. Тогда

т.е. ошибка неограниченно увеличивается с увеличением времени»
- порядок астатизма равен степени полинома входного воздействия. Тогда

т.е. установившееся значение ошибки является постоянной величиной, отличной от нуля;
3)
- порядок астатизма больше степени полинома входного воздействия. Тогда
,
т.е. в этом случае установившееся значение ошибки равно нулю.
Если система является статической
, то установившаяся ошибка при отработке ступенчатого сигнала
.
Величина W(1) представляет собой коэффициент передачи разомкнутой дискретной системы K. Нетрудно показать, что для случая экстраполятора нулевого порядка он совпадает со значением коэффициента передачи приведенной непрерывной части
. Таким образом, установившаяся ошибка статической системы на постоянный сигнал определяется по выражению

Для системы с астатизмом первого порядка
установившаяся ошибка на линейно нарастающий сигнал
определяется по выражению
,
где К - коэффициент передачи системы по скорости, 
В импульсных системах в установившемся режиме могут возникать колебания внутри интервала квантования (так называемые "скрытые колебания"). Отметим, что в линейных импульсных системах с экстраполятором нулевого порядка в качестве формирующего звена появление таких колебаний принципиально невозможно. Возникновение "скрытых колебаний" связано с использованием формирующего звена, поддерживающего величину импульса на интервале
т.е. звена с передаточной функцией
,
При необходимости их исследования выходной сигнал рассматривают в смещенные моменты времени
, т.е. используют смешенные Z-передаточные функции
и

дискретной системы.
3. Коэффициенты ошибок дискретной системы
Для анализа точности непрерывных систем при степенных входных воздействиях успешно применяется метод, основанный на понятии коэффициентов ошибок. Этот же метод может быть применен и для дискретных систем.
Рассмотрим вынужденный процесс в замкнутой системе. Передаточная функция системы по ошибке имеет вид
,
где W(z)- передаточная функция разомкнутой системы. Пусть
.
Тогда для сигнала ошибки системы в вынужденном процессе можно записать уравнение, аналогичное зависимости (90):
(100)
Выразим значение смещенной функции
через ее конечные разности:
, (101)
где 
Подставив выражение (101) в уравнение (100), получим

Меняя порядок суммирования, будем иметь
. (102)
Введем коэффициенты
, определяемые соотношениями

Тогда выражение (102) приобретает вид
(103)
Коэффициенты
называются коэффициентами ошибок дискретной системы. Они могут быть вычислены заранее. Из формулы (103) следует, что величина вынужденной ошибки полностью определяется коэффициентами ошибки и разностями квантованного входного сигнала. Коэффициенты ошибок
могут быть определены по передаточной функции замкнутой системы
. Запишем выражение для этой передаточной функции:

Продифференцировав последнюю зависимость по Z , получим для i-й производной

или
.
При вычислении коэффициентов ошибок производные
обычно находят не непосредственным дифференцированием, а определяя коэффициента разложения функции
в ряд Тейлора по степеням z-1. Действительно, данное разложение имеет вид

Коэффициенты разложения легко находятся переходом от переменной z к переменной
и последующим делением числителя полученного дробно-рационального выражения на знаменатель.
В качестве примера рассмотрим определение ошибки, устанавливающейся в импульсной системе, если
;

Введя новую переменную
, получим

Обратите внимание на лекцию "15. Безопасность оборудования и производственные процессы".
Разделив числитель на знаменатель, найдем разложение функции
в ряд по степеням
(запишем только два первых члена):
,
Отсюда
и тогда

Отметим, что, кроме коэффициентов ошибок, для определения величины
могут использоваться моменты
весовой характеристики
. В основном рассмотренные подходы к определению вынужденных процессов эквивалентны и отличаются один от другого лишь деталями, не имеющими принципиального значения.
Анализ точности при гармоническом входном сигнале при необходимости его проведения выполняется с помощью частотных характеристик импульсной системы аналогично тому, как это делалось для непрерывных систем. При этом для перехода от ЛАФЧХ разомкнутой дискретной системы к частотным характеристикам по сигналу ошибки могут использоваться те же номограммы замыкания, что и для непрерывных систем.





















