Для студентов СПбПУ Петра Великого по предмету Вычислительная математикаРешение систем линейных алгебраических уравненийРешение систем линейных алгебраических уравнений
5,0053103
2022-11-112022-11-11СтудИзба
Лабораторная работа 5: Решение систем линейных алгебраических уравнений
Описание
Цель работы - изучение численных методов решения систем линейных уравнений (метода Гаусса и итерационного метода решения систем уравнений).
Задание
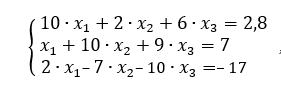
Решить систему уравнений методом Гаусса и методом Зейделя
![]()
Задание
Решить систему уравнений методом Гаусса и методом Зейделя

Характеристики лабораторной работы
Предмет
Учебное заведение
Номер задания
Просмотров
3
Размер
130,22 Kb
Список файлов
LR5 (1).docx

Если нужен другой вариант работы или отдельная задача из любой работы, пишите в комментарии