Курсовая работа: Базы данных
Новинка
Описание
Цель работы
Познакомиться с процессом разработки отношений БД, а также с принципами построения ER-диаграмм.
Задание
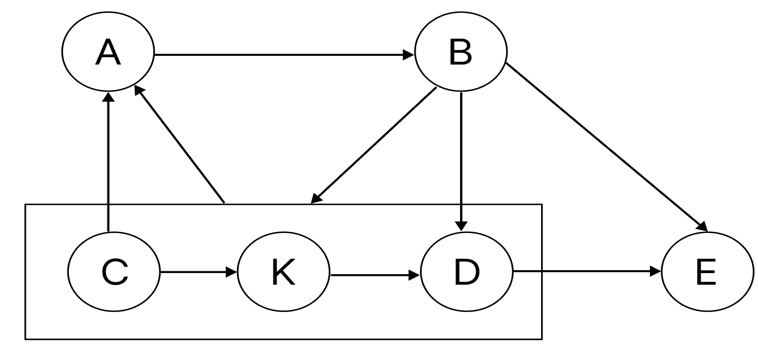
1. Как будет выглядеть изображенная диаграмма функциональных зависимостей после удаления избыточных функциональных зависимостей?

2. По указанным пунктам описать процесс построения отношений БД применительно к исследуемой вами предметной области (вашей БД прошлого семестра).
При построении отношений БД вами должно было быть сделано следующее:
- Из атрибутов предметной области сформировано универсальное отношение.
- Из универсального отношения выделены функциональные зависимости.
- Нарисована диаграмма функциональных зависимостей.
- С помощью правил вывода диаграмма функциональных зависимостей проанализирована на наличие избыточных функциональных зависимостей.
- Все избыточные зависимости должны быть удалены по одной.
Характеристики курсовой работы
Предмет
Учебное заведение
Просмотров
0
Размер
4,36 Mb
Список файлов
курсовой.docx
Комментарии
Нет комментариев
Стань первым, кто что-нибудь напишет!
НГТУ им. Р.Е. Алексеева
all_at_700















