Для студентов МГТУ им. Н.Э.Баумана по предмету Теория вероятностей и математическая статистика (ТВиМС)Типовик-3 для ИБМ, МТТиповик-3 для ИБМ, МТ
5,00516
2020-12-132020-12-13СтудИзба
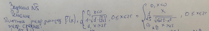
ДЗ 3: Типовик-3 для ИБМ, МТ вариант 3
Описание
Характеристики домашнего задания
Учебное заведение
Номер задания
Вариант
Просмотров
372
Размер
1,36 Mb
Список файлов
Тервер 3 вар
тервер 3 вар (1).jpg
тервер 3 вар (2).jpg
тервер 3 вар.jpg
Комментарии
Нет комментариев
Стань первым, кто что-нибудь напишет!
МГТУ им. Н.Э.Баумана


















