Для студентов ИДДО НИУ «МЭИ» по предмету Теория вероятностей и математическая статистика (ТВиМС)Итоговый тест Теория вероятностей и математическая статистикаИтоговый тест Теория вероятностей и математическая статистика
2025-12-242025-12-24СтудИзба
Ответы к экзамену: Итоговый тест Теория вероятностей и математическая статистика
Описание
- Вероятность произведения двух зависимых событий равна вероятности их произведения. Верно ли это? Напишите «да» или «нет».
- Вероятность события A равна 0,27. Тогда вероятность противоположного к A событи равна 0,25. Верно ли это? Напишите «да» или «нет».
- Найти Mfg x 1,2 и 0,5 0,3 0,2
- При дальней радиосвязи из-за помех XXX сигналов искажаются и принимаются неверно. Найдите вероятность того, что при передаче 50 сигналов ошибок в приёме будет не более трёх.
- В мешок с 2 шарами опустили белый шар, после чего из него наушку нависали один шар. Найти вероятность того, что этот шар оказался белым, если равно возможны все возможные предположения о первоначальном составе шаром (по цвету).
-
![]()
- Часто размышляя за племенем по пятницам вышедшего во время вычисления, Мfg равно:
- Что-то размышляя за племенем по пятницам вышедшего во время вычисления?
- Случайная величина X характеризуется рядом распределения. Тогда математическое ожидание случайной величины X равно:
- Пусть X = (x1, x2,…, xn) – декоративная случайная величина, n – вероятность появления x1. Тогда математическое ожидание Мfg случайной величины X рассчитывается о формуле:
- Механизация осмотра партии товара A обнаружит в этой партии 2X брака. Средняя арифметическая числа альтернативного признака (бракованного товара) равна:
- Достроена случайной величины X определяется формулой:
- Нормальная (всего) распределение вероятностей непрерывной случайной величины X называется распределением с полностью вероятностей:
- Если в схеме Бермулли р – малая величина т + пр, то вероятность Рита того, что при ниссильнике событие А произойдет пара можно найти по приближенной формуле:
- Вероятность того, что при ниссильнике событие А произойдет пара, определяется по формуле Бермулли (p = 1 – p):
- Задача функции распределения непрерывной случайной величины X/Найти функцию полности распределения вероятности (p)
- Установите соответствие между понятием события и примером его реализации:
- Завод отправит на базу 0000 изделий. Вероятность повреждения изделия в пути равна 0,003. Найти вероятность того, что в пути будет повреждено ровно 2 изделия.
- Из колоды в 53 карты извлекаются наушку 4 карты. Вероятность того, что средь них окажутся ровно две пики равна
- В колоде 36 карт. Каждому из четырех игроков раздали по 6 карт. Вероятность того, что каждый игрок получил по одному тулу равна
Список вопросов
Установите соответствие между понятием события и примером его реализации:
| Сумма случайных событий | Камень падает вниз, под действием силы тяжести |
| Невозможное событие | Извлечён туз бубновый из колоды карт |
| Достоверное событие | У собаки 5 лап |
| Случайное событие | В цель попал или первый стрелок или второй или оба вместе |
Случайная величина X характеризуется рядом распределения:
Тогда математическое ожидание случайной величины X равно:
Тогда математическое ожидание случайной величины X равно:
| xi | 0 | 1 | 2 | 3 | 4 |
| pi | 0.2 | 0.4 | 0.3 | 0.08 | 0.02 |
При дальней радиосвязи из-за помех 10% сигналов искажаются и принимаются неверно. Найдите вероятность того, что при передаче 50 сигналов ошибок в приёме будет не более трёх.
Вероятность события A равна 0,77. Тогда вероятность противоположного к A события равна 0,25. Верно ли это?
Распределение дискретной случайной величины X имеет вид:
... Тогда математическое ожидание случайной величины M(X) равно:
| Хi | 200 | 1600 |
| pi | 0.3 | 0.7 |
Из колоды в 52 карты извлекаются наугад 4 карты. Вероятность того, что среди них окажутся ровно две пики равна:
Завод отправит на базу 1000 изделий. Вероятность повреждения изделия в пути равна 0,003. Найти вероятность того, что в пути будет повреждено ровно 2 изделия.
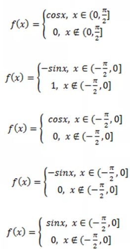
Задана функция распределения непрерывной случайной величины X
Найти функцию плотности распределения вероятности f(x).![]()
Найти функцию плотности распределения вероятности f(x).

Вероятность того, что при n испытаниях событие A произойдет m раз, определяется по формуле Бернулли (q = 1 — p):
- Pn;m=Cmnpmqn−m
- Pn;m=Cmnpm−nqm
- Pn;m=Cmnpnqm
- Pn;m=Cmnpmqn
Если в схеме Бернулли p – малая величина, а λ = np, то вероятность Pn(m) того, что при n испытаниях событие А произойдет m раз, можно найти по приближенной формуле:

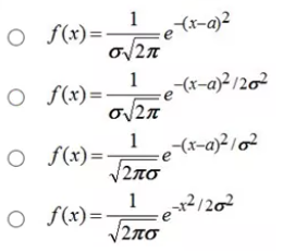
Нормальное (гауссовское) распределение вероятностей непрерывной случайной величины X называется распределением с плотностью вероятности:
Дисперсия случайной величины X определяется формулой:
При осмотре партии товара A обнаружено в этой партии 2% брака. Средняя арифметическая доля альтернативного признака (бракованного товара) равна:
Пусть X = {x₁, x₂, …, xₙ} – дискретная случайная величина, pᵢ – вероятность появления xᵢ. Тогда математическое ожидание M(X) случайной величины X рассчитывается по формуле:
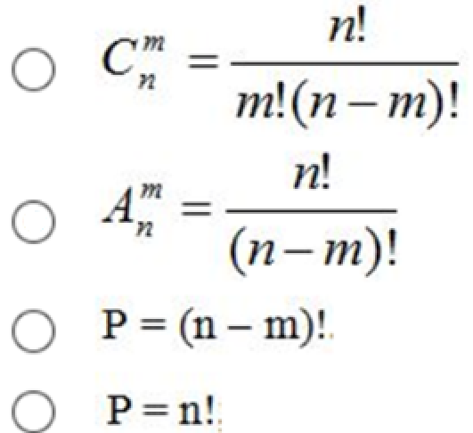
Число размещений из n элементов по m в каждом вычисляется по формуле:
Значение (1/A420)(A620+A520) равно: ![]()

В мешок с 2 шарами опустили белый шар, после чего из него наушку нависали один шар. Найти вероятность того, что этот шар оказался белым, если равно возможны все возможные предположения о первоначальном составе шаром (по цвету).
Найти M(x)
| х | 1 | 2 | 4 |
| p | 0,5 | 0,3 | 0,2 |
Вероятность произведения двух зависимых событий равна вероятности их произведения. Верно ли это? Напишите «да» или «нет».
Характеристики ответов (шпаргалок) к экзамену
Тип
Коллекция: Ответы (шпаргалки) к экзамену
Учебное заведение
Семестр
Просмотров
10
Количество вопросов
Комментарии
Нет комментариев
Стань первым, кто что-нибудь напишет!


ИДДО НИУ «МЭИ» 
















