💼 База ответов к тесту КМ-3. Законы распределения. (Курс Теория вероятностей и математическая статистика) 📊
Описание
🔴 Другие тесты и КМ по этому предмету 💯
➡️ Помощь со сдачей ⬅️

коллекция ответов КМ-3 законы распределения, скачать тестирование по теории вероятностей и математической статистике, готовые ответы на тест КМ-3 законы распределения НИУ МЭИ, контрольное задание КМ-3 законы распределения скачать, сдача теста для студентов НИУ МЭИ ИДДО, коллекция решений теста по законам распределения, где найти ответы на тест КМ-3 теория вероятностей, помощь с тестами по теории вероятностей и математической статистике, готовая коллекция ответов на законы распределения, сдача контрольного задания КМ-3 для студентов НИУ МЭИ, скачать ответы на тест КМ-3 законы распределения Янченко Александр Яковлевич, помощь с решением задач по законам распределения, коллекция тестов для курса Теория вероятностей и математическая статистика..
Список вопросов
Существуют ли события А и В для которых это выполняется?
Р(А)=1/5; Р(В)=1/2; Р(А+В)=Р(А)+Р(В)-Р(А)Р(В)
Может ли Р(А+В)=3/5?
X | -1 | 1 | 2 |
p | 0,7 | 0,1 | 0,2 |
Всегда ли события А, В, С независимы?





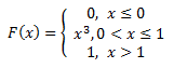
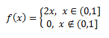
Найти функцию распределения F(x)








Эти вопросы в других коллекциях
Характеристики ответов (шпаргалок) к заданиям
Преподаватели
