💼 База ответов к тесту Аттестационный курс Итоговая работа (Курс Теория вероятностей и математическая статистика) 📊
Описание
🔴 Другие тесты и КМ по этому предмету 💯
➡️ Помощь со сдачей ⬅️

коллекция ответов на тест аттестационный курс итоговая работа теория вероятностей и математическая статистика, готовые решения по итоговому модулю теория вероятностей НИУ МЭИ, скачать сборник ответов по математической статистике для студентов ИДДО, помощь студентам заочного отделения с итоговыми задачами по теории вероятностей, контрольный модуль теория вероятностей итоговая работа, где найти коллекцию решений задач по теории вероятностей НИУ МЭИ, готовые ответы для итогового теста по математической статистике, сборник задач по теории вероятностей и математической статистике, контрольный тест аттестационный курс теория вероятностей для студентов ИДДО, помощь с контрольным модулем по математической статистике, качественные ответы на тест теория вероятностей для заочников НИУ МЭИ, готовая коллекция задач по итоговому модулю теория вероятностей и статистика..
Список вопросов
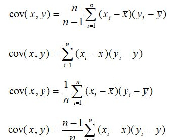
случайной величины Х рассчитывается о формуле:


распределения:

плотностью вероятностей:

товара) равна:
Тогда математическое ожидание случайной величины Х равно:

(бракованного товара) равна:
Тогда среднее значение выборки равно:

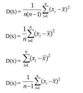
Математическое ожидание случайной величины М(х) равно:

(х) = 1/(b — а), если а д х < Ь, f(x) = О, если х < О и х > Ь.
Тогда математическое ожидание случайной величины с таким распределением равно:

равно:
Ответы:

необходимо составлять:


Тогда медиана этого вариационного ряда равна:

Эти вопросы в других коллекциях
Характеристики ответов (шпаргалок) к экзамену
Преподаватели
