💼 База ответов к экзамену - курс Теория вероятностей и математическая статистика 📊
Описание
- Полный курс_Итоговая работа_ТВИМС-Б-3-1-ЗаО
- Аттестационный курс_Итоговая работа
➡️ Помощь со сдачей ⬅️

база ответов к итоговой работе твимс-б-3-1-зао теория вероятностей решения задач по теории вероятностей твимс мэи иддо готовые ответы на итоговую работу по теории вероятностей твимс мэи найти базу ответов по курсу теория вероятностей мэи иддо решение итоговой работы твимс мэи иддо для заочников янченко александр яковлевич решения задач по твимс мэи база ответов для студентов мэи твимс-б-3-1-зао найти готовые ответы на теорию вероятностей твимс мэи иддо решения итоговой работы твимс-б-3-1-зао по математической статистике помощь с итоговой работой твимс мэи иддо для заочников решение задач по теории вероятностей и статистике твимс мэи заказать базу ответов на итоговую работу твимс мэи иддо решения по математической статистике твимс мэи для студентов сдать итоговую работу по твимс-б-3-1-зао мэи иддо готовая база решений задач по теории вероятностей мэи найти ответы на итоговую работу твимс мэи иддо янченко александр яковлевич помощь с решением твимс мэи купить сдачу итоговой работы твимс мэи для заочников проверенные решения задач по теории вероятностей твимс мэи иддо готовая итоговая работа твимс-б-3-1-зао мэи иддо для заочников решения задач по математической статистике твимс мэи для студентов база данных с ответами по теории вероятностей твимс мэи иддо найти готовую сдачу итоговой работы твимс-б-3-1-зао мэи заказать решение задач по математической статистике твимс мэи для заочников.
Список вопросов
случайной величины Х рассчитывается о формуле:


X | 1 | 2 | 4 |
P | 0,5 | 0,3 | 0,2 |
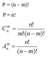
распределения:

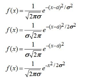
плотностью вероятностей:

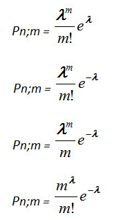
можно найти по приближенной формуле:


Найти функцию плотности распределения вероятности f(x)

Тогда математическое ожидание случайной величины Х равно:

(х) = 1/(b — а), если а д х < Ь, f(x) = О, если х < О и х > Ь.
Тогда математическое ожидание случайной величины с таким распределением равно:
Ответы:

Тогда параметр Л оценивается числом:

равно:
Эти вопросы в других коллекциях
Характеристики ответов (шпаргалок) к экзамену
Преподаватели
