Вопросы/задания к тесту/контрольной: Анализ рычажных и зубчатых механизмов
Описание
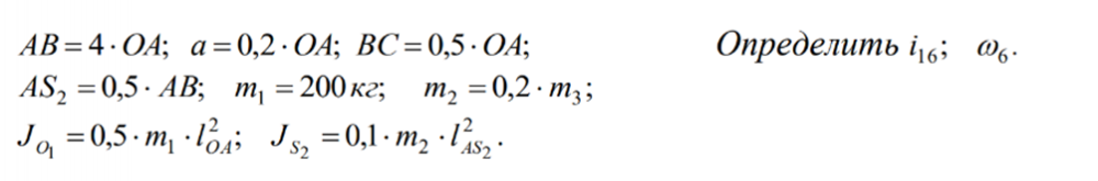
Вариант задания 1
Содержание
Лист
1 Структурный анализ рычажного механизма. 5
2 Кинематический анализ рычажного механизма. 7
3. Силовой расчет механизма. 15
4 Кинематический анализ зубчатого механизма. 19
Список использованных источников. 24
Задание
Введение
Одной из основных задач курсового проектирования по теории механизмов и машин является определение кинематических и силовых характеристик основного рычажного механизма машины. Данная задача решается после того, как определены линейные размеры звеньев и найден истинный закон движения входного звена основного рычажного механизма. Размеры звеньев определяются в результате проектирования механизма, а закон движения (угловая скорость и угловое ускорение) входного звена – в результате динамического исследования. В данном случае закон движения указан в задании.
Кинематический анализ заключается в определении законов движения точек и звеньев механизма без учета действия на них сил по известному закону движения входного звена. Характеристиками механического движения являются перемещения, скорости и ускорения.
На звенья механизма действуют различные внешние силы и моменты сил, а в кинематических парах возникают силы взаимодействия (реакции) между соприкасающимися звеньями, которые по отношению к механизму являются внутренними силами. Чтобы механизм находился в равновесии под действием приложенных сил, необходимо к одному из его подвижных звеньев приложить уравновешивающую силу Рур или момент Мур. Силу Рур или момент Мур обычно прикладывают к входному звену основного рычажного механизма, которое либо получает энергию извне (рабочие машины), либо отдает энергию (двигатели).
Определение реакций в кинематических парах и уравновешивающей силы составляет основное содержание силового расчета механизма. Силовой расчет можно провести, если известны внешние силы, моменты сил, размеры, массы, моменты инерции звеньев и их кинематические характеристики. Силовой расчет следует выполнять с учетом неравномерного движения звеньев, поскольку их ускорения и, как следствие, инерционные нагрузки в современных быстроходных машинах значительны. Так как механизм представляет собой подвижную механическую систему, то силовой расчет выполняют на основе принципа Даламбера. Кинематические и силовые характеристики, найденные в результате кинематического анализа и силового расчета, играют исключительно важную роль как на стадии проектирования механизмов и машин, так и в процессе их эксплуатации. Например, знание реакций в кинематических парах необходимо для расчета звеньев механизма на прочность, надежность, жесткость, износостойкость, вибростойкость, долговечность, а также для выбора подшипников и определения коэффициента полезного действия механизма.
Кинематический анализ зубчатого механизма состоит, главным образом, из определения передаточного числа механизма и угловых скоростей его звеньев. Передаточное число показывает во сколько раз различаются линейные размеры (радиус, диаметр, длина окружности) зубчатых колёс; на какую величину данная зубчатая передача может изменять две составляющие вращательного движения – крутящий момент и частота вращения.
При передаче движения между валами колёса делают с профилированными зубьями, которые, во-первых, должны обеспечивать постоянство передаточного отношения, во-вторых, обеспечивать динамические требования: постоянство сил в высшей кинематической паре, так же технологические требования: простота изготовления зубьев и их взаимозаменяемость. Одним из профилей, в наибольшей степени соответствующий указанным требованиям является математическая спиральная кривая линия- эвольвента. В данной задаче требуется рассчитать геометрические параметры зубчатых колес и на этой основе построить картину эвольвентного зубчатого зацепления с использованием результатов выполненной лабораторной работы.
КГУ
all_at_700














