Для студентов МГТУ им. Н.Э.Баумана по предмету Теория функций комплексного переменного (ТФКП)Теория функций комплексного переменногоТеория функций комплексного переменного
5,0055
2023-06-022024-09-03СтудИзба
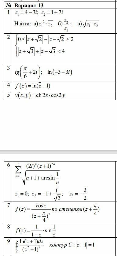
ДЗ 1: Теория функций комплексного переменного вариант 13
-66%
Описание
Характеристики домашнего задания
Учебное заведение
Семестр
Номер задания
Вариант
Теги
Просмотров
104
Размер
16,19 Mb
Список файлов
Вариант 13 - ДЗ №1 - ТФКП+.pdf

Друзья, спасибо за доверие! Если вам понравилась работа – поставьте 5⭐ и напишите отзыв. Это поможет другим студентам, а мне даст силы делать ещё больше качественных материалов для вас 🔥