Для студентов по предмету Теоретические основы электротехники (ТОЭ)Задача 4.2 вариант 96 (Бессонов Л.А.).Задача 4.2 вариант 96 (Бессонов Л.А.).
5,00518032
2022-09-162022-09-16СтудИзба
Задача 4.2: Задача 4.2 вариант 96 (Бессонов Л.А.). вариант 96
Описание
Задача 4.2 На расчёт нелинейной электрической цепи по мгновенным значениям
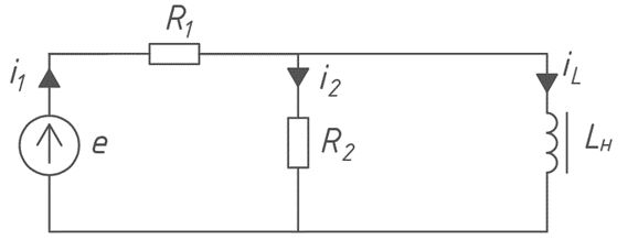
Схема, изображенная на рис. 4.37, состоит из источника синусоидальной ЭДС e(t)=Emsinωt, катушки Lн с нелинейной вебер-амперной характеристикой, которая дана на рис. 4.21, г (ψm=0,01 Вб), и двух резисторов сопротивлениями R1=R2=100 Ом.
Построить зависимости Ψ, iL, i2, i1 в функции ωt.
Таблица 1.1 – Исходные данные варианта 96
Еm, в | ω, рад/с |
230 | 5000 |
Рис. 4.37
Рис. 4.21г
Напишем систему уравнений по Законам Кирхгофа для мгновенных значений величин

Характеристики решённой задачи
Номер задания
Вариант
Программы
Теги
Просмотров
5
Качество
Идеальное компьютерное
Размер
82,5 Kb
Список файлов
Задача 1.docx
