Для студентов МГТУ им. Н.Э.Баумана по предмету Теоретическая механикаКолебания линейной системы с одной степенью свободыКолебания линейной системы с одной степенью свободы
5,0056
2023-05-172024-09-03СтудИзба
ДЗ 2: Колебания линейной системы с одной степенью свободы вариант 3
-66%
Описание
Вариант 3 - ДЗ №2 - Колебания системы с одной степенью свободы
Зачтено на максимальный балл 💥 💥 💥
Спасибо за покупку 🥰🥰🥰
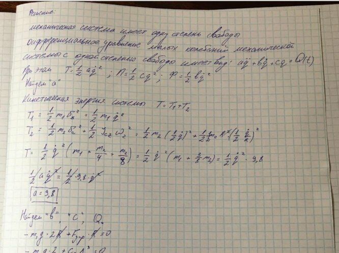
Домашнее задание № 2 Тема: Колебания линейной системы с одной степенью свободы1. Составить дифференциальное уравнение малых колебаний системы.
2. Получить решение этого уравнения и, используя заданные начальные условия, определить постоянные интегрирования.
3. Определить период установившихся вынужденных колебаний Tв и добротность системы Д, а для вариантов с малым линейно-вязким сопротивлением (n < k ) дополнительно: Т1 - условный период затухающих колебаний, δ - логарифмический декремент колебаний, τ0- постоянную времени затухающих колебаний. При выполнении домашнего задания "Малые колебания - исследование колебательного процесса" предполагается, что по истечении времени 4Tв + 3/n (4Tв + 3 τ0) амплитуда внешнего воздействия увеличивается в два раза, а еще через такой же промежуток времени внешнее воздействие прекращается.
Необходимо: 1. Исследовать амплитудно-частотную и фазочастотную характеристики системы.
2. Исследовать процессы перехода от начального возмущенного состояния к установившимся вынужденным колебаниям, от установившихся вынужденных колебаний при исходной амплитуде внешнего воздействия к установившимся колебаниям при удвоении амплитуды и от последних к состоянию покоя после прекращения внешнего воздействия.
3. Построить график q(t), включающий все переходные процессы.



Характеристики домашнего задания
Предмет
Учебное заведение
Семестр
Номер задания
Вариант
Просмотров
287
Размер
2,6 Mb
Список файлов
Вариант 3 - ДЗ №2 - Колебания системы с одной степенью свободы++0.pdf

Друзья, спасибо за доверие! Если вам понравилась работа – поставьте 5⭐ и напишите отзыв. Это поможет другим студентам, а мне даст силы делать ещё больше качественных материалов для вас 🔥