Для студентов МГТУ им. Н.Э.Баумана по предмету Теоретическая механикаКинематика сложного движения точкиКинематика сложного движения точки
5,0053
2022-12-022024-09-03СтудИзба
ДЗ 3: Кинематика сложного движения точки вариант 11
-66%
Описание
2022г Вариант 11 - ДЗ №3 - Кинематика сложного движения точки
Зачтено на максимальный балл
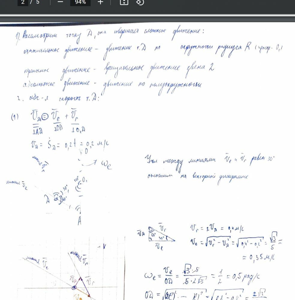
Вариант 11. По неподвижной проволочной полуокружности 1 движется кольцо D по закону SD = 0,1t 2 . Кольцо D, надетое и на трубку 2, изогнутую в виде окружности, приводит ее во вращательное движение вокруг оси O(z1), перпендикулярной плоскости рисунка. Внутри трубки 2 движется точка М по закону t 4 π sin 2 2 πR MOM . Принять R = 0,4 м. Для момента времени t = 1 c определить: 1) угловые скорость и ускорение звена 2, а также относительное ускорение точки D (по отношению к звену 2); 2) абсолютные скорость и ускорение точки M.


Файлы условия, демо
Характеристики домашнего задания
Предмет
Учебное заведение
Семестр
Номер задания
Вариант
Просмотров
457
Размер
1,19 Mb
Список файлов
Вариант 11 - ДЗ №3 - Кинематика сложного движения точки.pdf

Друзья, спасибо за доверие! Если вам понравилась работа – поставьте 5⭐ и напишите отзыв. Это поможет другим студентам, а мне даст силы делать ещё больше качественных материалов для вас 🔥