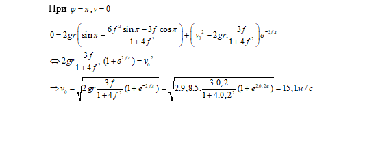
Для студентов МГТУ им. Н.Э.Баумана по предмету Теоретическая механикаДинамика материальной точкиДинамика материальной точки
5,005211
2022-09-062025-10-01СтудИзба
ДЗ 1: Динамика материальной точки вариант 11
-66%
Описание
Характеристики домашнего задания
Предмет
Учебное заведение
Семестр
Номер задания
Вариант
Программы
Просмотров
568
Качество
Идеальное компьютерное
Размер
950,02 Kb
Список файлов
Вариант 11 - Дз1 - Динамика материальной точки.docx
dinamika_mat_tochki.pdf

Ваше удовлетворение является нашим приоритетом, если вы удовлетворены нами, пожалуйста, оставьте нам 5 ЗВЕЗД и позитивных комментариев. Спасибо большое!. Смотрите файлы в моем профиле, там есть много полезных !
Комментарии

Отзыв
Супер!