Для студентов МГТУ им. Н.Э.Баумана по предмету Интегралы и дифференциальные уравнения (ИиДУ)Определенный интегралОпределенный интеграл
4,91525
2022-03-192024-09-03СтудИзба
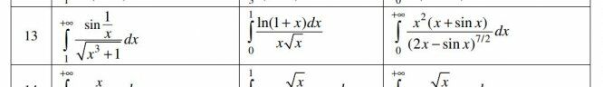
ДЗ 1: Определенный интеграл вариант 13
-66%
Описание
Файлы условия, демо
Характеристики домашнего задания
Учебное заведение
Семестр
Номер задания
Вариант
Программы
Просмотров
1103
Качество
Идеальное компьютерное
Размер
332,31 Kb
Список файлов
Вариант 13 - ДЗ №1 - Определённый интеграл.docx

Друзья, спасибо за доверие! Если вам понравилась работа – поставьте 5⭐ и напишите отзыв. Это поможет другим студентам, а мне даст силы делать ещё больше качественных материалов для вас 🔥