Для студентов НГТУ по предмету Основы теории цепей (ОТЦ)РГЗ №3 - Анализ переходных процессов - Схема 11 - Данные 1РГЗ №3 - Анализ переходных процессов - Схема 11 - Данные 1
2021-08-242021-08-24СтудИзба
Курсовая работа: РГЗ №3 - Анализ переходных процессов - Схема 11 - Данные 1 вариант 11
Описание
Расчетно-графическое задание № 3
Анализ переходных процессов
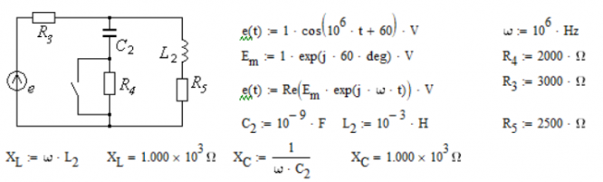
Задание- Найти переходный ток на входе цепи второго порядка, изображенной на схеме, и построить график его изменения в функции времени. ЭДС источника задана в виде: e(t)=Emcos(106t+Ye)
- Принужденную составляющую тока рекомендуется найти методом комплексных амплитуд (т.е. символическим методом), а свободную - операторным.
- Если наибольшее значение свободной составляющей окажется значительно меньшим по сравнению с амплитудой принужденной составляющей, то допускается раздельное построение этих составляющей на чертежах в разных масштабах (без суммирования).

Характеристики курсовой работы
Предмет
Учебное заведение
Семестр
Вариант
Просмотров
6
Качество
Идеальное компьютерное
Размер
28,91 Kb
Список файлов
РГЗ №3 - Анализ переходных процессов - Схема 11 - Данные 1
РГЗ №3 - Анализ переходных процессов - Схема 11 - Данные 1.mcd

Вам все понравилось? Получите кэшбэк - 40 рублей на Ваш счёт при покупке. Поставьте оценку и напишите положительный комментарий к купленному файлу. После Вы получите деньги на ваш счет.