Для студентов МГТУ им. Н.Э.Баумана по предмету Методы математической физики (ММФ)Типовой расчет 1Типовой расчет 1
5,0051
2025-06-252025-06-25СтудИзба
ДЗ 1: Типовой расчет 1 вариант 13
-43%
Описание
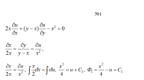
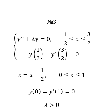
Дз №1 по ММФ, преподаватель - Филиновский. 13 Вариант, 3 решенных задачи.
![]()



Характеристики домашнего задания
Учебное заведение
Номер задания
Вариант
Просмотров
2
Качество
Идеальное компьютерное
Размер
100,47 Kb
Преподаватели
Список файлов
Дз-1 Алексеев В.И. в13 гр МТ7-102.docx