ДЗ 2: Спецглавы высшей математики вариант 9
Описание
Задача 1. Привести ДУ к каноническому виду в каждой из областей, где тип уравнения сохраняется.
Задача 2. Найти решение смешанной задачи для волнового уравнения.
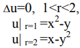
Задача 3. Найти решение краевой задачи для уравнения Лапласа.
![]()
Задача 2. Найти решение смешанной задачи для волнового уравнения.
Задача 3. Найти решение краевой задачи для уравнения Лапласа. 
Характеристики домашнего задания
Учебное заведение
Номер задания
Вариант
Просмотров
24
Качество
Фото рукописных листов
Размер
624,16 Kb
Список файлов
1.1.jpg
1.2.jpg
2.1.jpg
2.2.jpg
3.jpg
Комментарии
Нет комментариев
Стань первым, кто что-нибудь напишет!
МГТУ им. Н.Э.Баумана
SilverStars
















