Для студентов МГТУ им. Н.Э.Баумана по предмету Методы математической физики (ММФ)Спецглавы высшей математикиСпецглавы высшей математики
4,825254
2023-06-222023-06-22СтудИзба
ДЗ 2: Спецглавы высшей математики вариант 1
Описание
1.
2.
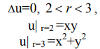
3. ![]()
2.
3. 
Характеристики домашнего задания
Учебное заведение
Номер задания
Вариант
Просмотров
17
Качество
Фото рукописных листов
Размер
389,96 Kb
Список файлов
1.pdf
Комментарии
Нет комментариев
Стань первым, кто что-нибудь напишет!
МГТУ им. Н.Э.Баумана
SilverStars


















