Вопросы/задания к контрольной работе: Линейная алгебра, векторная алгебра и аналитическая геометрия
Описание
Задание 1.
Выполнить действия над матрицами.
Задание 2.
Выполнить действия над матрицами.
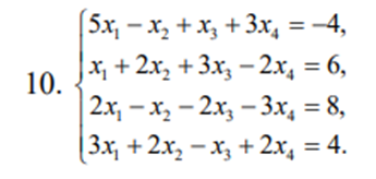
Задание 3.
Решить систему:
• матричным способом,
• по формулам Крамера,
• методом Гаусса.
Сделать проверку.
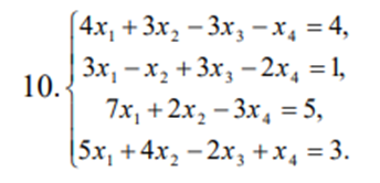
Задание 4.
Исследовать систему и в случае совместности решить ее:
• матричным способом,
• по формулам Крамера,
• методом Гаусса.
Cделать проверку.
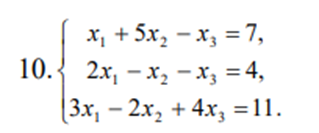
Задание 5.
Исследовать систему уравнений и решить ее, если она совместна, методом Гаусса. Найти:
• ее общее решение,
• базисное решение,
• частное решение.
Cделать проверку
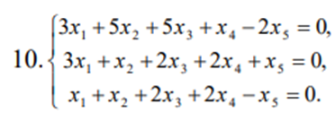
Задание 6.
Решить однородную систему линейных уравнений и найти ее фундаментальную систему решений.
Задание 7.
Даны три вектора а ={x1;y1; z1}, b ={x2; y2; z2}, с ={x3; y3; z3}.
Задание 8.
Даны координаты вершин треугольника АВС. Найти:
• уравнение высоты АD, опущенной из вершины А на сторону ВС;
• уравнение медианы АЕ;
• уравнение биссектрисы АМ внутреннего угла А;
• точку пересечения медиан треугольника;
• площадь треугольника.
Cделать рисунок
№ | A | B | C |
10 | (1;-1) | (4;3) | (2,5;-3) |
Задание 9.
Построить множества решений систем линейных неравенств и найти координаты их угловых точек. Проверить, принадлежит ли точка М0 данному множеству.
Задание 10.
В таблице приведены данные об исполнении баланса за отчетный период (усл. ден. ед.).
Вычислить необходимый объем валового выпуска каждой отрасли, если конечный продукт первой отрасли увеличится вдвое, второй отрасли - на 20%, а третьей отрасли сохранится на прежнем уровне.
№ | Отрасль | Потребление | Конечный продукт | Валовой выпуск | |||
1 | 2 | 3 | Y | X | |||
10 | Производство | 1 | 5 | 10 | 15 | 70 | 100 |
2 | 15 | 15 | 10 | 160 | 200 | ||
3 | 10 | 10 | 15 | 265 | 300 | ||
vitalievnatalia
















