Ответы к заданиям: Практическое задание по дисциплине математика
Новинка
Описание
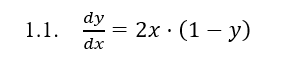
Задание 1. Методом изоклин построить интегральные кривые уравнения.
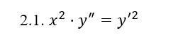
Задание 2. Решить уравнение, допускающее понижения порядка.
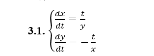
Задание 3. Решить систему уравнений.
Задание 4. Вероятность появления события в каждом испытании равна 0,7. Сколько нужно провести испытаний, чтобы наивероятнейшее число появлений события равнялось 10?
Задание 2. Решить уравнение, допускающее понижения порядка.
Задание 3. Решить систему уравнений.
Задание 4. Вероятность появления события в каждом испытании равна 0,7. Сколько нужно провести испытаний, чтобы наивероятнейшее число появлений события равнялось 10?
Файлы условия, демо
Характеристики ответов (шпаргалок) к заданиям
Предмет
Учебное заведение
Семестр
Просмотров
4
Размер
54,51 Kb
Список файлов
Задание_Математика.docx
Комментарии
Нет комментариев
Стань первым, кто что-нибудь напишет!
ММУ
















