Для студентов РЭУ им. Г.В.Плеханова в г. Тула по предмету Математический анализДифференциальные уравненияДифференциальные уравнения
5,0053182
2025-04-202025-04-20СтудИзба
ДЗ: Дифференциальные уравнения
Описание
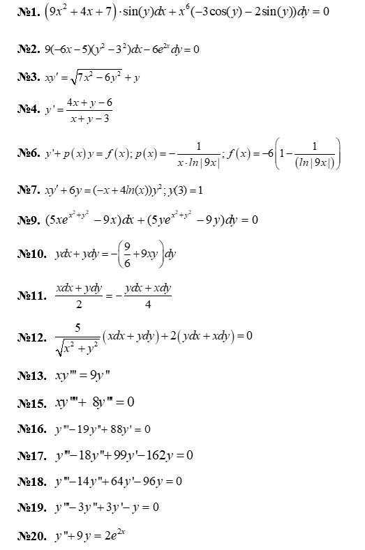
Найдите следующие ДУ и системы ДУ:
№1.
№2.
№3.
№4.
№6.
№7.
№9.
№10.
№11.
№12.
№13.
№15.
№16.
№17.
№18.
№19.
№20.
№21.
№22.
№23.
№24.
№25.
![]()
№1.
№2.
№3.
№4.
№6.
№7.
№9.
№10.
№11.
№12.
№13.
№15.
№16.
№17.
№18.
№19.
№20.
№21.
№22.
№23.
№24.
№25.


Характеристики домашнего задания
Предмет
Учебное заведение
Просмотров
1
Качество
Идеальное компьютерное
Размер
491,48 Kb
Список файлов
primer-1_ofo_ekonomika_somova_vm_ma_rgr_du_3.docx

Если нужен другой вариант работы или отдельная задача из любой работы, пишите в комментарии