Для студентов МГТУ им. Н.Э.Баумана по предмету Математический анализПределы и непрерывность функцийПределы и непрерывность функций
5,0052
2023-09-272025-04-10СтудИзба
Вариант 4 - ДЗ №2 "Пределы и непрерывность функции"
ДЗ 1.2: Пределы и непрерывность функций вариант 4
-43%
Описание
Типовой расчет №1 по математическому анализу, "Элементарные функции", зачтено
Задача 1:
Задача 2:
Задача 3:
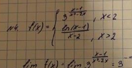
Задача 4:
Показать/скрыть дополнительное описание
Задача 1:




Домашнее задание по матан МГТУ 1 семестр типовик, пределы, исследование функций, дифференциальное..
Характеристики домашнего задания
Предмет
Учебное заведение
Семестр
Номер задания
Вариант
Просмотров
23
Качество
Скан рукописных листов
Размер
720,78 Kb
Список файлов
Вариант 4 Пределы 101.pdf

Спасибо за покупку! Я буду очень рад, если поставишь справедливую оценку купленному файлу :3 Ищи больше работ в моём профиле, там много нужного тебе!