Для студентов МГТУ им. Н.Э.Баумана по предмету Математический анализПределы и непрерывность функцийПределы и непрерывность функций
5,0056
2023-09-132025-04-10СтудИзба
ДЗ 1.2: Пределы и непрерывность функций вариант 2
-66%
Описание
Вариант 2 - ДЗ №2 - Пределы и непрерывность функций – МТ, СМ
Зачтено на максимальный балл 💥 💥 💥
Спасибо за покупку 🥰🥰 🥰
Условие:
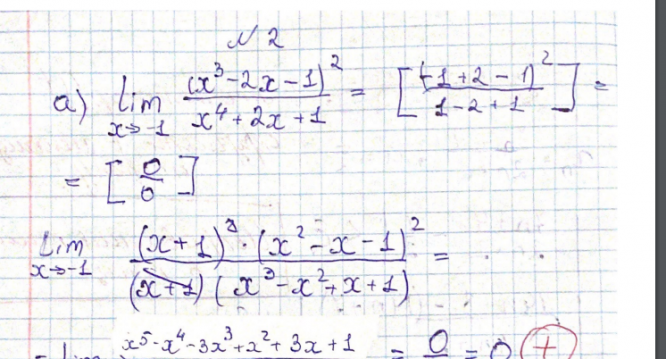
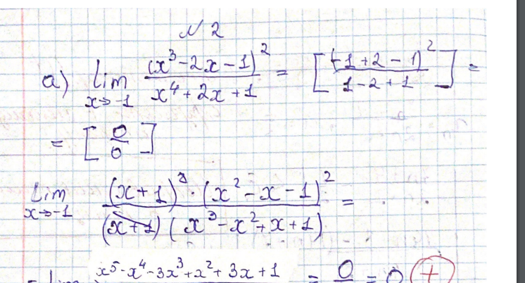
Пример решения
Задача 1:





Характеристики домашнего задания
Предмет
Учебное заведение
Семестр
Номер задания
Вариант
Просмотров
186
Размер
7 Mb
Список файлов
Вариант 2 - ДЗ №2 - Пределы и непрерывность функций - СММ.pdf

Друзья, спасибо за доверие! Если вам понравилась работа – поставьте 5⭐ и напишите отзыв. Это поможет другим студентам, а мне даст силы делать ещё больше качественных материалов для вас 🔥