Для студентов МГТУ им. Н.Э.Баумана по предмету Математический анализЭлементарные функции и их графикиЭлементарные функции и их графики
4,97514411
2023-09-272025-04-09СтудИзба
Вариант 4 - ДЗ №1 "Элементарные функции и их графики"
ДЗ 1.1: Элементарные функции и их графики вариант 4
-43%
Описание
Типовой расчет №1 по математическому анализу, "Элементарные функции", зачтено
Условие:
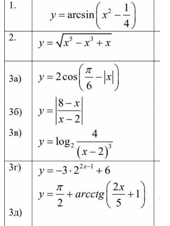
Задача 1:
Задача 2:
Задача 3:
Показать/скрыть дополнительное описание
Условие:



Задача 3:





Домашнее задание по матан МГТУ 1 семестр типовик, пределы, исследование функций, дифференциальное..
Характеристики домашнего задания
Предмет
Учебное заведение
Семестр
Номер задания
Вариант
Просмотров
16
Качество
Фото рукописных листов
Размер
867,21 Kb
Список файлов
Вариант 4 ЭФ 100.pdf

Спасибо за покупку! Я буду очень рад, если поставишь справедливую оценку купленному файлу :3 Ищи больше работ в моём профиле, там много нужного тебе!