Для студентов МГТУ им. Н.Э.Баумана по предмету Математический анализПределы и непрерывность функцийПределы и непрерывность функций
4,90547109
2023-03-022025-04-12СтудИзба
ДЗ 1.2: Пределы и непрерывность функций вариант 5
-66%
Описание
Вариант 5 - ДЗ №2 - Приложения дифференциального исчисления - МТ,РК,ИБМ,Э5,ФН1
Зачтено на максимальный балл 💥 💥 💥
Спасибо за покупку 🥰🥰🥰
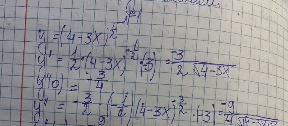
Пример решения:



Характеристики домашнего задания
Предмет
Учебное заведение
Семестр
Номер задания
Вариант
Просмотров
133
Размер
21,44 Mb
Список файлов
Вариант 5 - ДЗ №2 - Приложения дифференциального исчисления - ФН1.pdf
Вариант 5 - ДЗ №2 исправил.pdf
Capture1.JPG
Capture2.JPG

Друзья, спасибо за доверие! Если вам понравилась работа – поставьте 5⭐ и напишите отзыв. Это поможет другим студентам, а мне даст силы делать ещё больше качественных материалов для вас 🔥