Для студентов МГТУ им. Н.Э.Баумана по предмету Математический анализИсследование функций и построение их графиковИсследование функций и построение их графиков
4,52512
2023-03-022025-04-14СтудИзба
ДЗ 3: Исследование функций и построение их графиков вариант 5
-66%
Описание
Вариант 5 - ДЗ №3 - Исследование функций - СМ,ФН,РК4,ФН2
Зачтено на максимальный балл 💥 💥 💥
Спасибо за покупку 🥰🥰🥰
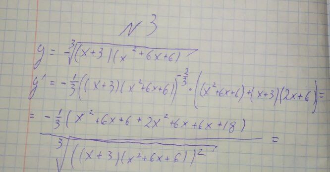
Пример решения:





Файлы условия, демо
Характеристики домашнего задания
Предмет
Учебное заведение
Семестр
Номер задания
Вариант
Просмотров
365
Размер
15,5 Mb
Список файлов
Вариант 5 - ДЗ №3 - Исследование функций - СМ.pdf
Задача 3.jpg

Друзья, спасибо за доверие! Если вам понравилась работа – поставьте 5⭐ и напишите отзыв. Это поможет другим студентам, а мне даст силы делать ещё больше качественных материалов для вас 🔥