Для студентов ИДДО НИУ «МЭИ» по предмету Математический анализКурс Математический анализ 1/2 - Аттестационныи курс_Итоговая работа_МА-Б-5/5-2-Экз/ЭкзКурс Математический анализ 1/2 - Аттестационныи курс_Итоговая работа_МА-Б-5/5-2-Экз/Экз
4,99521919
2025-03-282025-09-01СтудИзба
💼 База ответов к экзамену - курс Математический анализ 1/2 📊
Ответы к экзамену: Курс Математический анализ 1/2 - Аттестационныи курс_Итоговая работа_МА-Б-5/5-2-Экз/Экз
Описание
Курс Математический анализ 1/2 - база ответов к тестам:
➡️Любой предмет | Любой тест | Любая практика | ВКР (Диплом)⬅️
🗝️ ▶Помощь с сессией/долгами под ключ ◀ 🗝️
- Полный курс_Итоговая работа
- Аттестационный курс_Итоговая работа_МА-Б-5/5-2-Экз/Экз

➡️Любой предмет | Любой тест | Любая практика | ВКР (Диплом)⬅️
🗝️ ▶Помощь с сессией/долгами под ключ ◀ 🗝️
Список вопросов
Существует ли функция, у которой в данной точке есть вторая производная, но нет первой?
Может ли у функции быть два предела в точке?
Уравнение нормали к графику функции y = ex в точке x=0 есть:
Точкой локального минимума для функции f= x4 - 4ху + y2 является точка:
Существует ли функция, которая непрерывна, но не дифференцируема в данный точке?
Верно ли сформирована теорема Ролля: "если функция непрерывна на отрезке и дифференцируема на интервале, то внутри отрезка найдется точка, в которой производная этой функции равна нулю"
Существует ли функция, первообразная от которой равна удвоенной исходной функции?



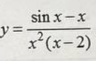
Областью монотонного убывания функции
является:

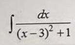
Вертикальной асимптотой графика функции
является:

Могут ли у двух различных функций на некотором интервале быть одинаковые первообразные?
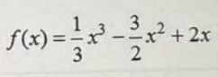
Если
, то f'(x) равна:

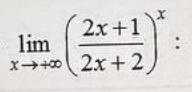
Чему равен предел ![]()

Чему равен предел ![]()

Точкой локального экстремума для функции f=× + у - х является точка:
Уравнение касательной к графику функции y = (x - 1)^3 + 2 в точке x = 1
Верно ли, что если функция интегрируема на данном отрезке, то она положительна на этом отрезке?
Верно ли, что если функция двух переменных дифференцируема
в данный точке, то у неё есть экстремум в этой точке?
в данный точке, то у неё есть экстремум в этой точке?
Эти вопросы в других коллекциях
Характеристики ответов (шпаргалок) к экзамену
Тип
Коллекция: Ответы (шпаргалки) к экзамену
Предмет
Учебное заведение
Теги
Просмотров
14
Качество
Идеальное компьютерное
Количество вопросов
Преподаватели

Гарантия сдачи без лишних хлопот! ✅🎓 Ответы на тесты по любым дисциплинам, базы вопросов, работы и услуги для Синергии, МЭИ и других вузов – всё уже готово! 🚀 🎯📚 Гарантия качества – или возврат денег! 💰✅